中国全科医学 ›› 2026, Vol. 29 ›› Issue (15): 2067-2076.DOI: 10.12114/j.issn.1007-9572.2025.0140

• 流行病学研究 • 上一篇    

1990—2021年全球与中国60岁及以上人群肥胖的疾病负担:趋势分析与模型预测

李嘉丽1, 刘璠1, 柯立鑫2, 李慧娟3, 王海博4, 赵晓晓5, 赵信科1,*(), 卢存存1,*()   

  1. 1.730101 甘肃省兰州市,甘肃中医药大学中西医结合学院
    2.9713GZ荷兰格罗宁根,格罗宁根大学医学中心儿科学实验室
    3.999077 香港特别行政区,香港浸会大学中医学院
    4.730000 甘肃省兰州市,甘肃中医药大学附属医院重症医学科
    5.250014 山东省济南市,山东中医药大学附属医院老年医学中心
  • 收稿日期:2025-05-30 修回日期:2025-07-10 出版日期:2026-05-20 发布日期:2026-04-14
  • 通讯作者: 赵信科, 卢存存
  • 李嘉丽与刘璠为共同第一作者


    作者贡献:

    李嘉丽和刘璠负责数据整理、图表制作和论文初稿撰写;柯立鑫和李慧娟负责数据收集、论文修订;王海博和赵晓晓负责数据核查和论文修订;赵信科负责研究指导、论文修订和经费支持;卢存存负责课题设计、统计分析、图表制作、研究指导和论文修订。

  • 基金资助:
    甘肃省科技重大专项计划(20ZD7FA002); 甘肃中医药大学中西医结合学科2021年度"双一流"科研重点项目(GSSYLXM-05-ZXYJH-5)

Disease Burden of Obesity among Individuals Aged 60 and above Globally and in China from 1990 to 2021: Trend Analysis and Model-based Projection

LI Jiali1, LIU Fan1, KE Lixin2, LI Huijuan3, WANG Haibo4, ZHAO Xiaoxiao5, ZHAO Xinke1,*(), LU Cuncun1,*()   

  1. 1. School of Traditional Chinese and Western Medicine, Gansu University of Chinese Medicine, Lanzhou 730101, China
    2. Department of Pediatrics, University of Groningen, University Medical Center Groningen, Groningen 9713GZ, Netherlands
    3. School of Chinese Medicine, Hong Kong Baptist University, Hong Kong 999077, China
    4. Department of Critical Care Medicine, Affiliated Hospital of Gansu University of Chinese Medicine, Lanzhou 730000, China
    5. Geriatric Medicine Center, Affiliated Hospital of Shandong University of TCM, Jinan 250014, China
  • Received:2025-05-30 Revised:2025-07-10 Published:2026-05-20 Online:2026-04-14
  • Contact: ZHAO Xinke, LU Cuncun
  • About author:

    LI Jiali and LIU Fan are co-first authors

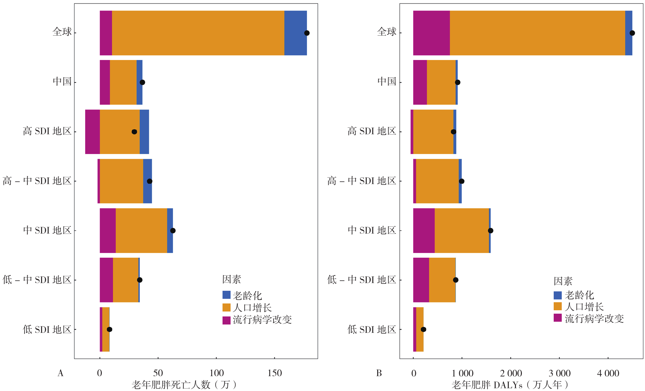
摘要: 背景 肥胖与老龄化已成为全球范围内的重大公共卫生问题,且老龄化问题在我国尤为突出,但目前关于老年人群肥胖的疾病负担研究证据相对较少,亟需填补。 目的 分析1990—2021年全球和中国老年人群的肥胖疾病负担并预测其未来变化趋势,为制定相关公共卫生防控政策与开展医疗卫生决策提供科学依据。 方法 从全球疾病负担(GBD)2021数据库中获取全球、中国及5个社会人口学指数(SDI)地区年龄≥60岁人群"high body-mass index"相关的死亡和伤残调整生命年(DALYs)数据。利用Joinpoint回归分析年龄标化死亡率(ASMR)和年龄标化DALYs率(ASDR)随时间的变化趋势,结果以平均年度变化百分比(AAPC)及其95%CI呈现。运用三因素分解分析方法评估老龄化、人口增长及流行病学变化对疾病负担变化的相对影响,并基于贝叶斯年龄-时期-队列(BAPC)模型预测2022—2035年死亡人数与DALYs的变化趋势。 结果 2021年全球与中国老年总体人群肥胖死亡人数分别为288.04万人、46.70万人,较1990年分别增加了161.26%、359.19%;DALYs则分别为7 119.34万人年、1 176.36万人年,较1990年分别增加了171.50%、344.80%。同时,1990—2021年全球老年总体和男性人群肥胖的ASMR总体上均呈上升趋势,其AAPC分别为0.22%(95%CI=0.08%~0.36%,P=0.002)、0.43%(95%CI=0.31%~0.55%,P<0.001);1990—2021年中国老年总体、女性、男性人群肥胖的ASMR总体上也均呈上升趋势,AAPC分别为1.19%(95%CI=0.97%~1.40%,P<0.001)、1.01%(95%CI=0.80%~1.23%,P<0.001)和1.47%(95%CI=1.16%~1.77%,P<0.001)。1990—2021年全球老年总体、女性、男性人群肥胖的ASDR总体上均呈上升趋势,AAPC分别为0.53%(95%CI=0.44%~0.62%,P<0.001)、0.43%(95%CI=0.33%~0.54%,P<0.001)和0.69%(95%CI=0.60%~0.79%,P<0.001);1990—2021年中国老年总体、女性、男性人群肥胖的ASDR总体上也均呈上升趋势,其AAPC分别为1.45%(95%CI=1.32%~1.58%,P<0.001)、1.34%(95%CI=1.21%~1.47%,P<0.001)和1.60%(95%CI=1.41%~1.79%,P<0.001)。此外,2021年5个SDI地区老年人群肥胖的死亡人数和DALYs相较于1990年也均有不同程度的增加。2021年全球和中国老年人群肥胖DALYs占比最高的年龄组分别为60~64岁组(1 650.05万人年,23.18%)和65~69岁组(293.02万人年,24.91%)。分解分析表明,人口增长是各地区疾病负担增加的主要影响因素。BAPC预测模型表明,2035年全球老年总体人群肥胖的死亡人数和DALYs较2021年将分别增长66.33%、71.93%,而中国将分别增长151.17%、135.03%。 结论 全球与我国老年人群肥胖疾病负担依然沉重且预计未来将会持续加剧,可通过加强公众健康意识,提倡健康生活方式并合理联合使用药物及手术等多维度干预来遏制不断增加的肥胖负担。

关键词: 肥胖症, 老年人, 体质指数, 伤残调整生命年, 死亡率, 流行病学趋势, 预测分析

Abstract:

Background

Obesity and aging have emerged as significant global public health concerns. Notably, the issue of aging is especially pronounced in China. However, there is relatively little research evidence regarding the disease burden of obesity in the elderly population, which needs to be addressed urgently.

Objective

To analyze the disease burden of elderly obesity population globally and in China from 1990 to 2021, and to predict future trends aiming to provide scientific evidence for the formulation of relevant public health prevention and control policies and healthcare decision-making.

Methods

Data on "high body-mass index" related to mortality and disability-adjusted life years (DALYs) for populations aged ≥60 in the global, China, and five sociodemographic index (SDI) regions were obtained from the Global Burden of Disease 2021 database. Joinpoint regression analysis was conducted to evaluate the trends of age-standardized mortality rate (ASMR) and age-standardized DALY rate (ASDR) over time, and results were reported as average annual percent change (AAPC) and corresponding 95%CI. A three-factor decomposition analysis was used to evaluate the relative impact of aging, population growth, and epidemiological changes on the disease burden. Additionally, a Bayesian age-period-cohort (BAPC) model was utilized to forecast mortality and DALYs trends from 2022 to 2035.

Results

In 2021, the number of obesity-related deaths among elderly populations was 2 880 400 globally and 467 000 cases in China, representing increases of 161.26% and 359.19%, respectively, compared to 1990. Corresponding DALYs number reached 71 193 400 person-years globally and 11 763 600 person-years in China, with increases of 171.50% and 344.80%. Globally, the ASMR for obesity in the total elderly population and elderly males showed an overall upward trend from 1990 to 2021, with AAPC of 0.22% (95%CI=0.08%-0.36%, P=0.002) and 0.43% (95%CI=0.31%-0.55%, P<0.001), respectively. In China, the ASMR for obesity in the total elderly population, elderly females, and elderly males also showed an overall upward trend from 1990 to 2021, with AAPC of 1.19% (95%CI=0.97%-1.40%, P<0.001), 1.01% (95%CI=0.80%-1.23%, P<0.001), and 1.47% (95%CI=1.16%-1.77%, P<0.001), respectively. From 1990 to 2021, the global ASDR for obesity in the total elderly population, elderly females, and elderly males showed an overall upward trend, with AAPC of 0.53% (95%CI=0.44%-0.62%, P<0.001), 0.43% (95%CI=0.33%-0.54%, P<0.001), and 0.69% (95%CI=0.60%-0.79%, P<0.001), respectively. In China, the ASDR for obesity in the total elderly population, elderly females, and elderly males also showed an overall upward trend from 1990 to 2021, with AAPC of 1.45% (95%CI=1.32%-1.58%, P<0.001), 1.34% (95%CI=1.21%-1.47%, P<0.001), and 1.60% (95%CI=1.41%-1.79%, P<0.001), respectively. Furthermore, in 2021, the numbers of obesity-related mortality and DALYs among the elderly in the five SDI regions also rose to varying degrees compared to 1990. The 60-64 years age group accounted for the highest DALYs burden globally (16 500 500 person-years, 23.18%), while in China, the highest DALYs burden was observed in the 65-69 age group (2 930 200 person-years, 24.91%). Decomposition analysis identified population growth as the primary driver of the increased obesity-related disease burden across all regions. Forecasting models suggested that by 2035, the numbers of obesity-related deaths and DALYs among the global elderly population will increase by 66.33% and 71.93%, respectively, while in China, they are projected to rise by 151.17% and 135.03%.

Conclusion

The disease burden of obesity among the elderly remains substantial both globally and in China, and is expected to escalate in the future. Targeted efforts to enhance public health awareness, promote healthy aging and lifestyles, and appropriately utilize medical and surgical interventions can be necessary to mitigate the growing burden of obesity in elderly population.

Key words: Obesity, Aged, Body mass index, Disability-adjusted life years, Mortality, Epidemiological trend, Predictive analysis

中图分类号: