中国全科医学 ›› 2026, Vol. 29 ›› Issue (14): 1921-1930.DOI: 10.12114/j.issn.1007-9572.2024.0518
• 论著·医学循证 • 上一篇
詹立1, 衡朝阳2, 何俍钰3, 赵捷4, 陈杰1, 邢晋山5,*(
)
收稿日期:2024-09-29
修回日期:2024-12-19
出版日期:2026-05-15
发布日期:2026-04-14
通讯作者:
邢晋山
作者贡献:
詹立、邢晋山进行文章的构思与设计,研究的实施与可行性分析;詹立、衡朝阳、何俍钰进行数据收集;何俍钰、赵捷、陈杰进行数据整理;詹立、赵捷进行统计学处理;詹立、衡朝阳进行结果的分析与解释;詹立撰写论文;詹立、何俍钰进行论文的修订;邢晋山对文章整体负责,监督管理。
基金资助:
ZHAN Li1, HENG Zhaoyang2, HE Liangyu3, ZHAO Jie4, CHEN Jie1, XING Jinshan5,*(
)
Received:2024-09-29
Revised:2024-12-19
Published:2026-05-15
Online:2026-04-14
Contact:
XING Jinshan
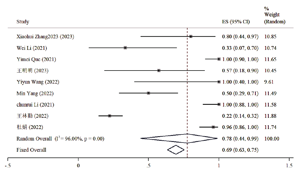
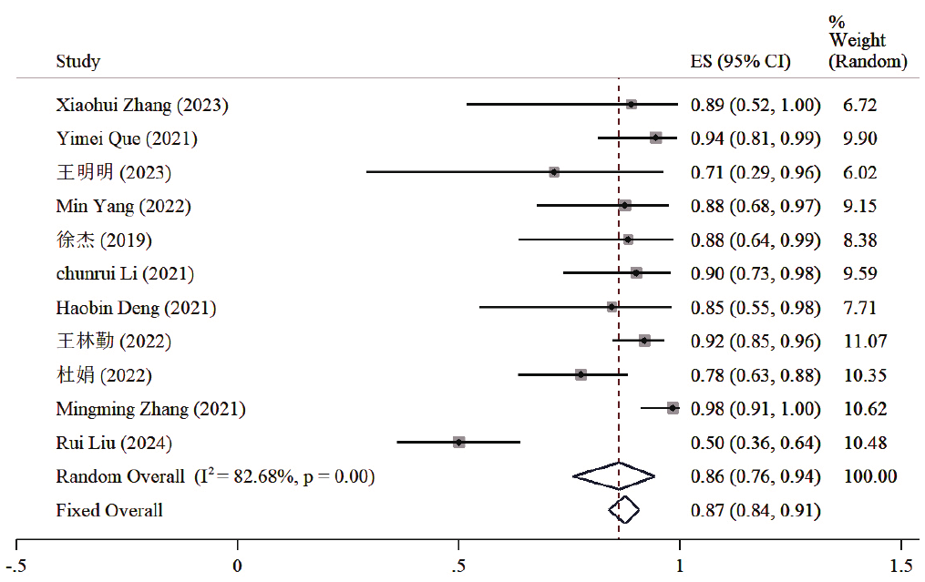
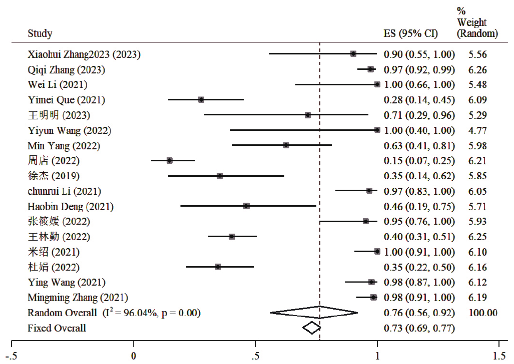
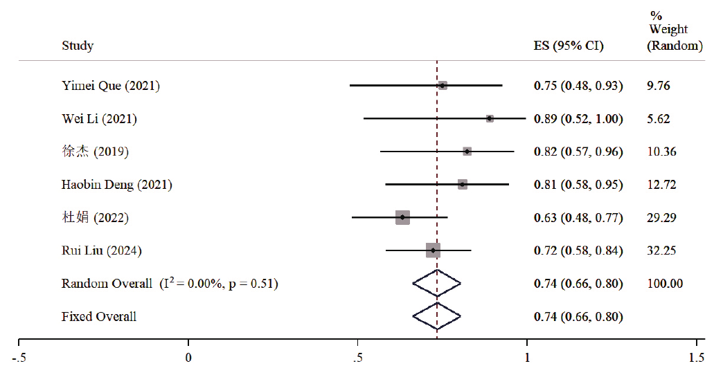
摘要: 背景 靶向B细胞成熟抗原(BCMA)的嵌合抗原受体(CAR)-T细胞在复发/难治性多发性骨髓瘤(RRMM)的临床研究中显示较好的临床疗效,但目前关于其对中国RRMM患者的疗效与安全性的证据较少。 目的 探讨靶向BCMA CAR-T细胞治疗中国RRMM患者的安全性及有效性。 方法 计算机检索PubMed、Web of Science、Embase、中国知网、万方数据知识服务平台、维普网数据库,筛选自建库至2024年5月已发表的关于靶向BCMA CAR-T细胞治疗中国RRMM患者的研究,由2名研究者独立筛选文献、提取资料并对纳入研究进行偏倚风险评价。以疗效指标、安全性指标及预后指标等为主要结局指标,采用Stata 16.0软件进行Meta分析。 结果 共纳入18项研究,包括690例患者。Meta分析结果显示:靶向BCMA CAR-T细胞治疗RRMM患者的总反应率为86%(95%CI=76%~94%),严格的完全缓解率为67%(95%CI=58%~75%),完全缓解率为54%(95%CI=44%~65%),非常好的部分缓解率为16%(95%CI=8%~24%),部分缓解率为17%(95%CI=13%~22%)。细胞因子释放综合征(CRS)发生率为76%(95%CI=56%~92%),3级及以上CRS发生率为16%(95%CI=8%~26%)。白细胞减少率为91%(95%CI=74%~100%),3级及以上白细胞减少率为70%(95%CI=47%~90%)。中性粒细胞减少率为82%(95%CI=54%~99%),3级及以上中性粒细胞减少率为74%(95%CI=52%~92%)。血小板减少率为81%(95%CI=64%~95%),3级及以上血小板减少率为54%(95%CI=37%~70%)。贫血率为78%(95%CI=44%~99%),3级及以上贫血率为55%(95%CI=38%~70%)。免疫效应细胞相关神经毒性综合征(ICANS)率为13%(95%CI=4%~24%),3级及以上ICANS率为0(95%CI=0~2%)。1年内死亡率为3%(95%CI=1%~7%),2年及以上死亡率为35%(95%CI=10%~66%)。1年内复发或进展率为35%(95%CI=19%~52%),2年及以上复发或进展率为35%(95%CI=18%~54%)。1年内病情稳定率为60%(95%CI=34%~83%)。1年内无进展生存率为52%(95%CI=44%~60%)。6个月内总生存率为90%(95%CI=76%~99%),1年及以上总生存率为74%(95%CI=66%~80%)。 结论 靶向BCMA CAR-T疗法对中国RRMM患者有效且安全,但是存在纳入研究样本量较少、质量不一等问题,需要进行更大规模的研究和更高质量的随机对照试验进一步验证。
中图分类号:
| 第一作者 | 发表年份(年) | 年龄(岁) | 性别(男/女) | 样本量(例) | 中位PFS | 中位OS | 疗效指标 | 安全性指标 | 预后指标 | MINORS量表评分(分) |
|---|---|---|---|---|---|---|---|---|---|---|
| ZHANG[ | 2023 | 54(36,73) | 6/4 | 10 | 11.2个月 | — | ①②⑤⑥ | ⑨⑩⑪⑫⑬ | ⑮⑰⑲ | 13 |
| ZHANG[ | 2023 | 60(16,84) | 62/43 | 105 | 14.7个月 | 39.8个月 | ③④⑤ | ⑨ | ⑱⑲ | 12 |
| LI[ | 2022 | 58.85 | 7/14 | 21 | — | — | — | ⑨⑩⑫⑬⑭ | ⑦⑧⑮ | 12 |
| QUE[ | 2021 | 53(34,69) | 23/13 | 36 | 12个月 | 85.3个月 | ① | ⑨⑩⑪⑫⑬ | ⑦⑱⑲ | 12 |
| WANG[ | 2024 | 54(50,72) | — | 7 | 22.4个月 | — | ①②③④ | ⑨⑩⑪⑬⑭ | ⑯⑲ | 12 |
| WANG[ | 2022 | 57(53,69) | 3/1 | 4 | — | — | ③⑤ | ⑨⑩⑫⑬ | ⑮⑯ | 13 |
| YANG[ | 2022 | 60(39,70) | 13/11 | 24 | 18.8个月 | — | ①②③ | ⑨⑩⑪⑫⑬ | ⑮⑯⑰⑲ | 11 |
| ZHOU[ | 2023 | 57.5(41,72) | 45/23 | 68 | — | — | — | ⑨ | ⑮⑯ | 12 |
| XU[ | 2019 | — | — | 17 | — | — | ①②④ | ⑨ | ⑦⑧ ⑮⑯ | 12 |
| LI[ | 2021 | 55(34,65) | 17/13 | 30 | 5.3个月 | 14.2个月 | ①③ | ⑨⑩⑪⑫⑬⑭ | ⑮⑰⑱⑲ | 12 |
| DENG[ | 2021 | 58(42,77) | 8/5 | 13 | — | — | ①②③④⑤⑥ | ⑨⑭ | ⑦⑧⑮ | 12 |
| 张筱媛[ | 2022 | 55(43,69) | 12/9 | 21 | 7.9个月 | 19.4个月 | ②③④⑤ | ⑨ | ⑮⑯⑱⑲ | 13 |
| WANG[ | 2023 | 59(16,75) | 54/39 | 93 | — | — | ①③ | ⑨⑪⑫⑬ | ⑮ | 12 |
| SHAO[ | 2021 | 61(41,75) | 26/11 | 37 | — | — | ③④⑤ | ⑨⑫⑭ | ⑮ | 11 |
| DU[ | 2022 | 57(37,75) | 26/23 | 49 | 10个月 | 29个月 | ①③ | ⑨⑩⑪⑫⑬ | ⑦⑧⑯⑱⑲ | 13 |
| WANG[ | 2021 | 55(27,70) | 27/13 | 40 | 36.5个月 | — | ②④⑤ | ⑨⑭ | ⑲ | 11 |
| LIU[ | 2024 | 45 | 26/28 | 54 | 25.9个月 | 47.2个月 | ①③④⑤ | ⑨ | ⑦⑮⑲ | 12 |
| ZHANG[ | 2021 | — | — | 61 | 21.5个月 | — | ①③ | ⑨⑭ | ⑧⑮⑯ | 12 |
表1 纳入研究的基本特征
Table 1 Basic characteristics of the included studies
| 第一作者 | 发表年份(年) | 年龄(岁) | 性别(男/女) | 样本量(例) | 中位PFS | 中位OS | 疗效指标 | 安全性指标 | 预后指标 | MINORS量表评分(分) |
|---|---|---|---|---|---|---|---|---|---|---|
| ZHANG[ | 2023 | 54(36,73) | 6/4 | 10 | 11.2个月 | — | ①②⑤⑥ | ⑨⑩⑪⑫⑬ | ⑮⑰⑲ | 13 |
| ZHANG[ | 2023 | 60(16,84) | 62/43 | 105 | 14.7个月 | 39.8个月 | ③④⑤ | ⑨ | ⑱⑲ | 12 |
| LI[ | 2022 | 58.85 | 7/14 | 21 | — | — | — | ⑨⑩⑫⑬⑭ | ⑦⑧⑮ | 12 |
| QUE[ | 2021 | 53(34,69) | 23/13 | 36 | 12个月 | 85.3个月 | ① | ⑨⑩⑪⑫⑬ | ⑦⑱⑲ | 12 |
| WANG[ | 2024 | 54(50,72) | — | 7 | 22.4个月 | — | ①②③④ | ⑨⑩⑪⑬⑭ | ⑯⑲ | 12 |
| WANG[ | 2022 | 57(53,69) | 3/1 | 4 | — | — | ③⑤ | ⑨⑩⑫⑬ | ⑮⑯ | 13 |
| YANG[ | 2022 | 60(39,70) | 13/11 | 24 | 18.8个月 | — | ①②③ | ⑨⑩⑪⑫⑬ | ⑮⑯⑰⑲ | 11 |
| ZHOU[ | 2023 | 57.5(41,72) | 45/23 | 68 | — | — | — | ⑨ | ⑮⑯ | 12 |
| XU[ | 2019 | — | — | 17 | — | — | ①②④ | ⑨ | ⑦⑧ ⑮⑯ | 12 |
| LI[ | 2021 | 55(34,65) | 17/13 | 30 | 5.3个月 | 14.2个月 | ①③ | ⑨⑩⑪⑫⑬⑭ | ⑮⑰⑱⑲ | 12 |
| DENG[ | 2021 | 58(42,77) | 8/5 | 13 | — | — | ①②③④⑤⑥ | ⑨⑭ | ⑦⑧⑮ | 12 |
| 张筱媛[ | 2022 | 55(43,69) | 12/9 | 21 | 7.9个月 | 19.4个月 | ②③④⑤ | ⑨ | ⑮⑯⑱⑲ | 13 |
| WANG[ | 2023 | 59(16,75) | 54/39 | 93 | — | — | ①③ | ⑨⑪⑫⑬ | ⑮ | 12 |
| SHAO[ | 2021 | 61(41,75) | 26/11 | 37 | — | — | ③④⑤ | ⑨⑫⑭ | ⑮ | 11 |
| DU[ | 2022 | 57(37,75) | 26/23 | 49 | 10个月 | 29个月 | ①③ | ⑨⑩⑪⑫⑬ | ⑦⑧⑯⑱⑲ | 13 |
| WANG[ | 2021 | 55(27,70) | 27/13 | 40 | 36.5个月 | — | ②④⑤ | ⑨⑭ | ⑲ | 11 |
| LIU[ | 2024 | 45 | 26/28 | 54 | 25.9个月 | 47.2个月 | ①③④⑤ | ⑨ | ⑦⑮⑲ | 12 |
| ZHANG[ | 2021 | — | — | 61 | 21.5个月 | — | ①③ | ⑨⑭ | ⑧⑮⑯ | 12 |
| [1] |
|
| [2] |
|
| [3] |
|
| [4] |
|
| [5] |
|
| [6] |
|
| [7] |
|
| [8] |
|
| [9] |
|
| [10] |
|
| [11] |
|
| [12] |
康德英, 洪旗, 刘关键, 等. Meta分析中发表性偏倚的识别与处理[J]. 中国循证医学杂志, 2003, 3(1): 45-49. DOI: 10.3969/j.issn.1672-2531.2003.01.010.
|
| [13] |
|
| [14] |
|
| [15] |
|
| [16] |
|
| [17] |
|
| [18] |
|
| [19] |
|
| [20] |
|
| [21] |
|
| [22] |
张筱媛, 丁寒怡, 刚东旭, 等. BCMA-CART治疗复发难治性多发性骨髓瘤的毒性管理及疗效评估[J]. 中国实验血液学杂志, 2022, 30(2): 466-475.
|
| [23] |
|
| [24] |
|
| [25] |
|
| [26] |
|
| [27] |
|
| [28] |
|
| [29] |
|
| [30] |
|
| [31] |
|
| [32] |
|
| [33] |
|
| [34] |
|
| [35] |
|
| [36] |
|
| [37] |
|
| [38] |
|
| [39] |
|
| [40] |
|
| [41] |
|
| [42] |
|
| [43] |
栾春燕, 菅子莹, 程韬, 等. B细胞成熟抗原(BCMA)靶向免疫治疗多发性骨髓瘤的研究进展[J]. 中国实验血液学杂志, 2019, 27(5): 1701-1705.
|
| [44] |
|
| [45] |
喻敏, 孔繁聪, 周玉兰, 等. BCMA CAR-T治疗复发/难治性多发性骨髓瘤患者的长期疗效和影响因素分析[J]. 中国肿瘤临床, 2024, 51(7): 342-347.
|
| [46] |
|
| [47] |
|
| [48] |
|
| [49] |
|
| [1] | 田安妮, 杨晶, 孙晶, 王诗纯. 康复机器人辅助训练对不同阶段脑卒中患者手运动功能恢复效果的Meta分析[J]. 中国全科医学, 2026, 29(14): 1911-1920. |
| [2] | 肖瑶, 林秀文, 吴倩芳, 凌鑫, 梁艺龄, 刘嘉玲, 石磊. 基于欧洲五维健康量表的中国多重慢病患者健康效用值的Meta分析[J]. 中国全科医学, 2026, 29(11): 1463-1472. |
| [3] | 王菲, 韩伟钰, 孙韬. 艾灸联合三阶梯疗法治疗癌性疼痛的网状Meta分析[J]. 中国全科医学, 2026, 29(09): 1203-1211. |
| [4] | 裴志怡, 张晓欣, 林佳艺, 张向毅, 康晓凤. 基于患者决策辅助工具国际标准的心血管领域患者决策辅助工具质量及应用效果的系统评价[J]. 中国全科医学, 2026, 29(07): 945-952. |
| [5] | 张玲, 黄双英, 徐慧, 梅慧婷, 洪咏萍. 不同运动方式对老年人跌倒效能影响的网状Meta分析[J]. 中国全科医学, 2026, 29(06): 741-751. |
| [6] | 赵雪姣, 李娟, 李雨洁, 卢婷, 先丽红, 颜欢. 中国脑卒中后认知障碍患病趋势及影响因素的Meta分析[J]. 中国全科医学, 2026, 29(03): 380-392. |
| [7] | 周文超, 梁佳琪, 姚尚满, 薛朝, 刘龙, 郭相杰. 高血压与帕金森病的共享基因位点识别研究[J]. 中国全科医学, 2026, 29(02): 201-206. |
| [8] | 向凤玲, 王远坤, 王小燕, 何圣洁, 干锦华. 中国儿童青少年高尿酸血症患病率的Meta分析[J]. 中国全科医学, 2025, 28(33): 4206-4213. |
| [9] | 许佳兰, 阎红, 文君, 周紫彤, 王思宇. 老年癌症患者潜在不适当用药发生率的Meta分析[J]. 中国全科医学, 2025, 28(30): 3815-3822. |
| [10] | 张天宇, 于海搏, 陈飞, 李新, 张佳佳, 詹晓凯, 申曼, 汤然, 范斯斌, 赵凤仪, 黄仲夏. POEMS综合征全身系统性治疗疗效和安全性的Meta分析[J]. 中国全科医学, 2025, 28(27): 3447-3455. |
| [11] | 全家霖, 朱琳, 苏煜, 陈泽恺, 陈梓淇, 张卓凡. 运动方式对超重或肥胖儿童青少年执行功能改善效果的网状Meta分析[J]. 中国全科医学, 2025, 28(27): 3422-3431. |
| [12] | 蒋世华, 朱政, 任盈盈, 朱垚磊, 王越, 高希彬. 中国儿童青少年近视患病率及影响因素的Meta分析[J]. 中国全科医学, 2025, 28(24): 3043-3052. |
| [13] | 李浩, 李江涛, 刘丹, 王建军. 贝利尤单抗和阿尼鲁单抗及泰它西普治疗系统性红斑狼疮疗效和安全性的网状Meta分析[J]. 中国全科医学, 2025, 28(23): 2924-2933. |
| [14] | 王笑林, 李秋月, 周彦君, 张金辉, 梁涛. 转移性结直肠癌患者呋喹替尼治疗相关心血管毒性发生率和风险的Meta分析[J]. 中国全科医学, 2025, 28(23): 2934-2940. |
| [15] | 马盼盼, 王思静, 游娜, 丁大法, 鲁一兵. Danuglipron与Orforglipron治疗2型糖尿病疗效及安全性的Meta分析[J]. 中国全科医学, 2025, 28(21): 2679-2685. |
| 阅读次数 | ||||||
|
全文 |
|
|||||
|
摘要 |
|
|||||





