中国全科医学 ›› 2026, Vol. 29 ›› Issue (10): 1300-1310.DOI: 10.12114/j.issn.1007-9572.2025.0064
所属专题: 社区卫生服务最新研究合辑; 心血管最新文章合辑
余新艳1, 马忠2, 曹凡3, 苏鹏4, 林颖5, 张海澄6,*(
)
收稿日期:2025-03-27
修回日期:2025-06-23
出版日期:2026-04-05
发布日期:2026-03-25
通讯作者:
张海澄
作者贡献:
余新艳负责研究的实施与可行性分析纳入与排除标准的制订,撰写论文,对主要研究结果进行分析与解释;马忠负责数据整理、检索文献;曹凡负责数据核对、最终版本修订;苏鹏负责统计学处理;林颖负责图、表绘制,结果的可视化呈现;张海澄提出研究思路,设计研究方案进行文章的构思与设计,对文章整体负责、监督管理。
基金资助:
YU Xinyan1, MA Zhong2, CAO Fan3, SU Peng4, LIN Ying5, ZHANG Haicheng6,*(
)
Received:2025-03-27
Revised:2025-06-23
Published:2026-04-05
Online:2026-03-25
Contact:
ZHANG Haicheng
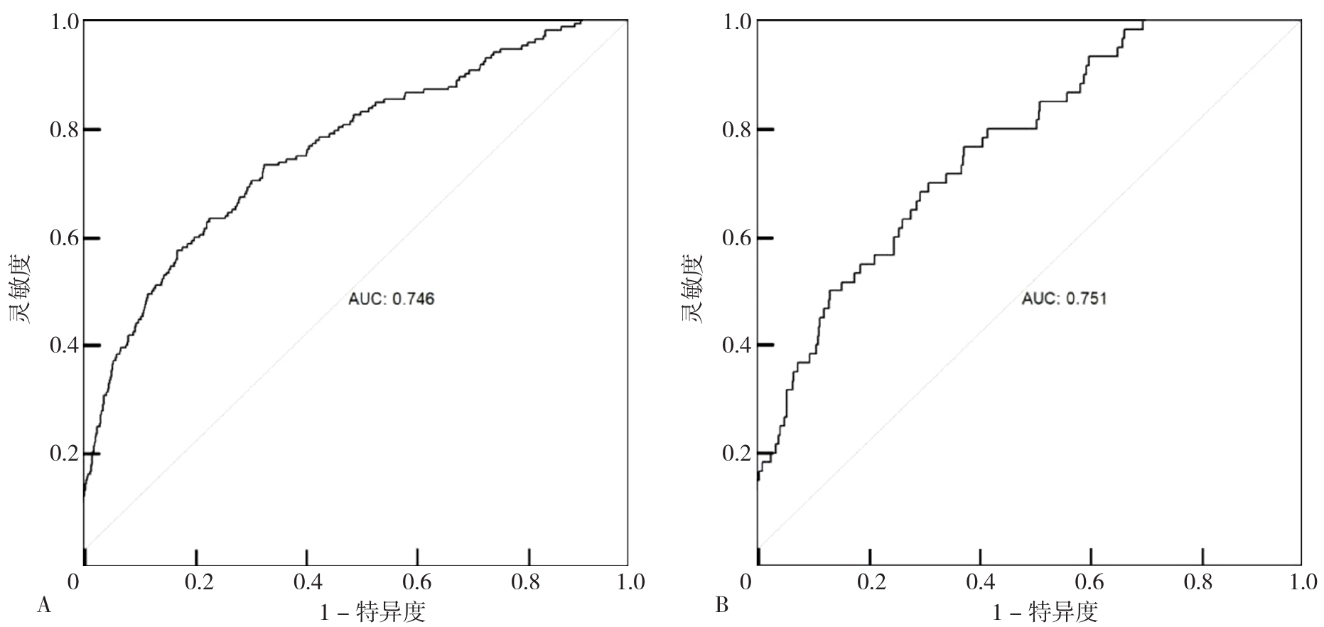
摘要: 背景 心血管代谢疾病与抑郁密切相关。基层心血管代谢疾病管理工作已初具规模,但对于患者抑郁等心理问题一方面缺乏关注,另一方面缺乏简单、准确、高效的筛查评估工具。 目的 应用单导联可穿戴心电设备构建宁夏基层老年心血管代谢疾病患者抑郁发生风险的列线图预测模型并验证。 方法 选取2022年1月—2023年6月宁夏地区5个市的20家基层医疗卫生机构应用单导联可穿戴心电设备采集并上传至云平台的3 121例65岁以上高血压、糖尿病、冠心病等心血管代谢疾病患者的心电图资料及云平台收集的患者社会人口学、生活行为方式、心理健康等资料。采用简单随机抽样方法按3∶1比例分为训练集(2 341例)和验证集(780例)。通过运行RStudio 4.1.1软件,使用LASSO回归分析以及交叉验证筛选最佳预测因子,采用多因素Logistic回归分析构建预测老年心血管代谢疾病患者抑郁发生风险的列线图预测模型,采用受试者工作特征(ROC)曲线、校正曲线及决策曲线评估模型的效能。 结果 LASSO回归筛选出10个变量:性别、BMI、城乡、运动、焦虑、冠心病、期前收缩、RR间期平均值标准差(SDANN)、正常相邻窦性RR间期差值均方根(rMSSD)、睡眠效率;多因素Logistic回归分析结果显示,性别(OR=1.747,95%CI=1.258~2.434)、BMI(OR=1.073,95%CI=1.024~1.125)、城乡(OR=1.684,95%CI=1.172~2.456)、运动(OR=0.610,95%CI=0.460~0.799)、焦虑(OR=3.041,95%CI=1.597~5.484)、冠心病(OR=2.743,95%CI=1.971~3.815),期前收缩(OR=4.745,95%CI=1.681~19.977)、SDANN(OR=4.745,95%CI=1.681~19.977)、rMSSD(OR=0.986,95%CI=0.972~0.999)、睡眠效率(OR=0.988,95%CI=0.982~0.995)是老年心血管代谢疾病患者抑郁发生风险的影响因素(P<0.05)。Logistic回归方程Logit(P)=4.322+0.558×性别+0.071×BMI+0.521×城乡-0.494×运动+1.112×焦虑+1.009×冠心病+1.557×期前收缩-0.011×SDANN-0.014×rMSSD-0.012×睡眠效率,基于此构建列线图预测模型,在训练集和验证集中预测老年慢性病患者抑郁发生风险的ROC曲线下面积分别为0.748(95%CI=0.707~0.786,P<0.001)、0.751(95%CI=0.692~0.809,P<0.001),灵敏度分别为75.2%、76.7%,特异度分别为63.4%、60.6%。临床决策曲线显示,在训练集和验证集中当抑郁风险阈值概率分别在8%~35%、8%~37%时,预测老年心血管代谢疾病患者抑郁发生风险的净收益更高。 结论 性别、BMI、城乡、运动、焦虑、冠心病、期前收缩、SDANN、rMSSD、睡眠效率均是老年心血管代谢疾病患者抑郁发生风险的影响因素。本研究基于单导联可穿戴心电设备构建基层老年心血管代谢疾病患者抑郁发生风险的列线图模型,有较好的预测效能及临床应用价值,不但有助于在基层医疗卫生机构对患者进行抑郁筛查与个体化干预措施的制订,还可助力基层心血管疾病防控工作。
中图分类号:
| 变量 | 训练集(n=2 341) | 验证集(n=780) | 检验统计量值 | P值 |
|---|---|---|---|---|
| 年龄( | 71.4±5.0 | 71.4±4.9 | 0.114a | 0.909 |
| 性别[例(%)] | 0.079 | 0.778 | ||
| 男 | 966(41.3) | 327(41.9) | ||
| 女 | 1 375(58.7) | 453(58.1) | ||
| 民族[例(%)] | 3.317 | 0.069 | ||
| 汉族 | 2 098(89.6) | 680(87.2) | ||
| 少数民族 | 243(10.4) | 100(12.8) | ||
| 城乡[例(%)] | 0.247 | 0.619 | ||
| 城市 | 1 615(69.0) | 530(67.9) | ||
| 乡镇 | 726(31.0) | 250(32.1) | ||
| BMI( | 24.8±3.2 | 24.6±3.2 | -1.469a | 0.142 |
| BMI分组[例(%)] | 5.763 | 0.124 | ||
| <18.5 kg/m2 | 41(1.8) | 24(3.1) | ||
| 18.5~23.9 kg/m2 | 921(39.3) | 298(38.2) | ||
| 24.0~27.9 kg/m2 | 1 019(43.5) | 347(44.5) | ||
| >27.9 kg/m2 | 360(15.4) | 111(14.2) | ||
| 受教育程度[例(%)] | 1.939 | 0.585 | ||
| 小学以下 | 731(31.2) | 224(28.7) | ||
| 小学 | 614(26.2) | 212(27.2) | ||
| 初中 | 613(26.2) | 207(26.5) | ||
| 高中及以上 | 383(16.4) | 137(17.6) | ||
| 职业[例(%)] | 0.854 | 0.653 | ||
| 无职业 | 1 091(46.6) | 359(46.0) | ||
| 离退休 | 655(28.0) | 231(29.6) | ||
| 农林牧渔业等 | 595(25.4) | 190(24.4) | ||
| 吸烟[例(%)] | 1.068 | 0.586 | ||
| 从不 | 2 026(86.5) | 681(87.3) | ||
| 以前 | 39(1.7) | 9(1.2) | ||
| 持续 | 276(11.8) | 90(11.5) | ||
| 饮酒[例(%)] | 0.034 | 0.983 | ||
| 从不 | 2 132(91.1) | 712(91.3) | ||
| 以前 | 15(0.6) | 5(0.6) | ||
| 持续 | 194(8.3) | 63(8.1) | ||
| 饮茶[例(%)] | 2.490 | 0.288 | ||
| 从不 | 1 985(84.8) | 679(87.1) | ||
| 偶尔 | 124(5.3) | 37(4.7) | ||
| 经常 | 232(9.9) | 64(8.2) | ||
| 运动[例(%)] | 0.648 | 0.723 | ||
| 从不 | 1 049(44.8) | 340(43.6) | ||
| 偶尔 | 1 060(45.3) | 366(46.9) | ||
| 经常 | 232(9.9) | 74(9.5) | ||
| 高血压[例(%)] | 1 859(79.4) | 628(80.5) | 0.374 | 0.541 |
| 糖尿病[例(%)] | 586(25.0) | 184(23.6) | 0.580 | 0.446 |
| 冠心病[例(%)] | 609(26.0) | 201(25.8) | 0.008 | 0.930 |
| 焦虑[例(%)] | 103(4.4) | 34(4.4) | <0.001 | >0.999 |
| SDNN( | 126.01±33.66 | 127.08±31.79 | 0.783a | 0.434 |
| SDANN( | 117.81±33.55 | 117.40±31.56 | 0.307a | 0.764 |
| rMSSD( | 28.19±16.67 | 27.64±14.48 | -0.821a | 0.412 |
| TP( | 10 152.18±5 602.83 | 9 993.67±5 317.12 | -0.693a | 0.488 |
| LF/HF( | 1.88±1.17 | 1.88±1.12 | 0.014a | 0.989 |
| 入睡时间[M(P25,P75),min] | 14.17(9.83,32.25) | 15.50(9.83,38.17) | 133 668.628b | <0.001 |
| 卧床时间( | 469.91±131.31 | 467.72±134.37 | -0.402a | 0.688 |
| 觉醒时间( | 176.63±114.91 | 176.03±114.55 | -0.127a | 0.899 |
| 快速眼动时间[M(P25,P75),min] | 32.50(12.00,66.00) | 29.75(12.50,61.99) | 10 083.152b | <0.001 |
| 浅睡时间[M(P25,P75),min] | 56.5(25.0,95.0) | 53.0(23.1,95.5) | 6 125.387b | <0.001 |
| 深睡时间( | 108.08±100.03 | 179.50±105.67 | -0.139a | 0.890 |
| 睡眠效率( | 61.56±22.42 | 61.32±22.71 | -0.265a | 0.791 |
| OSA分级[例(%)] | 5.063 | 0.167 | ||
| 无 | 367(15.7) | 112(14.4) | ||
| 轻度 | 733(31.3) | 234(30.0) | ||
| 中度 | 756(32.3) | 243(31.2) | ||
| 重度 | 485(20.7) | 191(24.5) | ||
| 心律失常类型[例(%)] | ||||
| 期前收缩 | 2 225(95.0) | 751(96.3) | 1.752 | 0.186 |
| 室性心动过速 | 44(1.9) | 25(3.2) | 4.162 | 0.041 |
| 并行心律 | 35(1.5) | 14(1.8) | 0.174 | 0.677 |
| 心室预激 | 5(0.2) | 1(0.1) | <0.001 | >0.999 |
| 房室传导阻滞 | 71(3.0) | 18(2.3) | 0.864 | 0.353 |
| 心房扑动 | 4(0.2) | 1(0.1) | <0.001 | >0.999 |
| 房性心动过速 | 612(26.1) | 226(29.0) | 2.247 | 0.134 |
| 束支传导阻滞 | 128(5.5) | 51(6.5) | 1.050 | 0.305 |
| 窦房传导阻滞 | 29(1.2) | 3(0.4) | 3.407 | 0.065 |
| 长间歇 | 66(2.8) | 19(2.4) | 0.196 | 0.658 |
| 心房颤动 | 67(2.9) | 26(3.3) | 0.301 | 0.583 |
| 非危急值分组[例(%)] | 92(3.9) | 34(4.4) | 0.178 | 0.673 |
表1 训练集和验证集老年心血管代谢疾病患者基线特征比较
Table 1 Comparison of baseline characteristics of elderly patients with cardiometabolic diseases in the training set and validation set
| 变量 | 训练集(n=2 341) | 验证集(n=780) | 检验统计量值 | P值 |
|---|---|---|---|---|
| 年龄( | 71.4±5.0 | 71.4±4.9 | 0.114a | 0.909 |
| 性别[例(%)] | 0.079 | 0.778 | ||
| 男 | 966(41.3) | 327(41.9) | ||
| 女 | 1 375(58.7) | 453(58.1) | ||
| 民族[例(%)] | 3.317 | 0.069 | ||
| 汉族 | 2 098(89.6) | 680(87.2) | ||
| 少数民族 | 243(10.4) | 100(12.8) | ||
| 城乡[例(%)] | 0.247 | 0.619 | ||
| 城市 | 1 615(69.0) | 530(67.9) | ||
| 乡镇 | 726(31.0) | 250(32.1) | ||
| BMI( | 24.8±3.2 | 24.6±3.2 | -1.469a | 0.142 |
| BMI分组[例(%)] | 5.763 | 0.124 | ||
| <18.5 kg/m2 | 41(1.8) | 24(3.1) | ||
| 18.5~23.9 kg/m2 | 921(39.3) | 298(38.2) | ||
| 24.0~27.9 kg/m2 | 1 019(43.5) | 347(44.5) | ||
| >27.9 kg/m2 | 360(15.4) | 111(14.2) | ||
| 受教育程度[例(%)] | 1.939 | 0.585 | ||
| 小学以下 | 731(31.2) | 224(28.7) | ||
| 小学 | 614(26.2) | 212(27.2) | ||
| 初中 | 613(26.2) | 207(26.5) | ||
| 高中及以上 | 383(16.4) | 137(17.6) | ||
| 职业[例(%)] | 0.854 | 0.653 | ||
| 无职业 | 1 091(46.6) | 359(46.0) | ||
| 离退休 | 655(28.0) | 231(29.6) | ||
| 农林牧渔业等 | 595(25.4) | 190(24.4) | ||
| 吸烟[例(%)] | 1.068 | 0.586 | ||
| 从不 | 2 026(86.5) | 681(87.3) | ||
| 以前 | 39(1.7) | 9(1.2) | ||
| 持续 | 276(11.8) | 90(11.5) | ||
| 饮酒[例(%)] | 0.034 | 0.983 | ||
| 从不 | 2 132(91.1) | 712(91.3) | ||
| 以前 | 15(0.6) | 5(0.6) | ||
| 持续 | 194(8.3) | 63(8.1) | ||
| 饮茶[例(%)] | 2.490 | 0.288 | ||
| 从不 | 1 985(84.8) | 679(87.1) | ||
| 偶尔 | 124(5.3) | 37(4.7) | ||
| 经常 | 232(9.9) | 64(8.2) | ||
| 运动[例(%)] | 0.648 | 0.723 | ||
| 从不 | 1 049(44.8) | 340(43.6) | ||
| 偶尔 | 1 060(45.3) | 366(46.9) | ||
| 经常 | 232(9.9) | 74(9.5) | ||
| 高血压[例(%)] | 1 859(79.4) | 628(80.5) | 0.374 | 0.541 |
| 糖尿病[例(%)] | 586(25.0) | 184(23.6) | 0.580 | 0.446 |
| 冠心病[例(%)] | 609(26.0) | 201(25.8) | 0.008 | 0.930 |
| 焦虑[例(%)] | 103(4.4) | 34(4.4) | <0.001 | >0.999 |
| SDNN( | 126.01±33.66 | 127.08±31.79 | 0.783a | 0.434 |
| SDANN( | 117.81±33.55 | 117.40±31.56 | 0.307a | 0.764 |
| rMSSD( | 28.19±16.67 | 27.64±14.48 | -0.821a | 0.412 |
| TP( | 10 152.18±5 602.83 | 9 993.67±5 317.12 | -0.693a | 0.488 |
| LF/HF( | 1.88±1.17 | 1.88±1.12 | 0.014a | 0.989 |
| 入睡时间[M(P25,P75),min] | 14.17(9.83,32.25) | 15.50(9.83,38.17) | 133 668.628b | <0.001 |
| 卧床时间( | 469.91±131.31 | 467.72±134.37 | -0.402a | 0.688 |
| 觉醒时间( | 176.63±114.91 | 176.03±114.55 | -0.127a | 0.899 |
| 快速眼动时间[M(P25,P75),min] | 32.50(12.00,66.00) | 29.75(12.50,61.99) | 10 083.152b | <0.001 |
| 浅睡时间[M(P25,P75),min] | 56.5(25.0,95.0) | 53.0(23.1,95.5) | 6 125.387b | <0.001 |
| 深睡时间( | 108.08±100.03 | 179.50±105.67 | -0.139a | 0.890 |
| 睡眠效率( | 61.56±22.42 | 61.32±22.71 | -0.265a | 0.791 |
| OSA分级[例(%)] | 5.063 | 0.167 | ||
| 无 | 367(15.7) | 112(14.4) | ||
| 轻度 | 733(31.3) | 234(30.0) | ||
| 中度 | 756(32.3) | 243(31.2) | ||
| 重度 | 485(20.7) | 191(24.5) | ||
| 心律失常类型[例(%)] | ||||
| 期前收缩 | 2 225(95.0) | 751(96.3) | 1.752 | 0.186 |
| 室性心动过速 | 44(1.9) | 25(3.2) | 4.162 | 0.041 |
| 并行心律 | 35(1.5) | 14(1.8) | 0.174 | 0.677 |
| 心室预激 | 5(0.2) | 1(0.1) | <0.001 | >0.999 |
| 房室传导阻滞 | 71(3.0) | 18(2.3) | 0.864 | 0.353 |
| 心房扑动 | 4(0.2) | 1(0.1) | <0.001 | >0.999 |
| 房性心动过速 | 612(26.1) | 226(29.0) | 2.247 | 0.134 |
| 束支传导阻滞 | 128(5.5) | 51(6.5) | 1.050 | 0.305 |
| 窦房传导阻滞 | 29(1.2) | 3(0.4) | 3.407 | 0.065 |
| 长间歇 | 66(2.8) | 19(2.4) | 0.196 | 0.658 |
| 心房颤动 | 67(2.9) | 26(3.3) | 0.301 | 0.583 |
| 非危急值分组[例(%)] | 92(3.9) | 34(4.4) | 0.178 | 0.673 |
| 变量 | β | SE | Wald χ2值 | Z值 | P值 | OR(95%CI) |
|---|---|---|---|---|---|---|
| 性别(以女为参照) | ||||||
| 男 | 0.558 | 0.169 | 12.184 | 3.318 | <0.001 | 1.747(1.258~2.434) |
| BMI | 0.071 | 0.024 | 8.619 | 2.929 | 0.003 | 1.073(1.024~1.125) |
| 城乡(以乡镇为参照) | ||||||
| 城市 | 0.521 | 0.187 | 8.045 | 2.764 | 0.006 | 1.684(1.172~2.456) |
| 运动(以从不为参照) | ||||||
| 偶尔 | -0.208 | 0.172 | 1.454 | -2.523 | 0.228 | 0.812(0.580~1.139) |
| 经常 | -2.076 | 0.600 | 11.983 | -3.520 | <0.001 | 0.610(0.460~0.799) |
| 焦虑 | 1.112 | 0.313 | 12.779 | 3.556 | <0.001 | 3.041(1.597~5.484) |
| 冠心病 | 1.009 | 0.169 | 37.497 | 5.999 | <0.001 | 2.743(1.971~3.815) |
| 期前收缩 | 1.557 | 0.609 | 6.521 | 2.549 | 0.011 | 4.745(1.681~19.977) |
| SDANN | -0.011 | 0.003 | 15.158 | -3.884 | <0.001 | 0.989(0.983~0.994) |
| rMSSD | -0.014 | 0.007 | 4.214 | -2.028 | 0.043 | 0.986(0.972~0.999) |
| 睡眠效率 | -0.012 | 0.004 | 11.706 | -3.314 | <0.001 | 0.988(0.982~0.995) |
表2 老年心血管代谢疾病患者抑郁发生风险影响因素的多因素Logistic回归分析
Table 2 Multivariate Logistic regression analysis of factors influencing depression risk in elderly patients with cardiometabolic diseases
| 变量 | β | SE | Wald χ2值 | Z值 | P值 | OR(95%CI) |
|---|---|---|---|---|---|---|
| 性别(以女为参照) | ||||||
| 男 | 0.558 | 0.169 | 12.184 | 3.318 | <0.001 | 1.747(1.258~2.434) |
| BMI | 0.071 | 0.024 | 8.619 | 2.929 | 0.003 | 1.073(1.024~1.125) |
| 城乡(以乡镇为参照) | ||||||
| 城市 | 0.521 | 0.187 | 8.045 | 2.764 | 0.006 | 1.684(1.172~2.456) |
| 运动(以从不为参照) | ||||||
| 偶尔 | -0.208 | 0.172 | 1.454 | -2.523 | 0.228 | 0.812(0.580~1.139) |
| 经常 | -2.076 | 0.600 | 11.983 | -3.520 | <0.001 | 0.610(0.460~0.799) |
| 焦虑 | 1.112 | 0.313 | 12.779 | 3.556 | <0.001 | 3.041(1.597~5.484) |
| 冠心病 | 1.009 | 0.169 | 37.497 | 5.999 | <0.001 | 2.743(1.971~3.815) |
| 期前收缩 | 1.557 | 0.609 | 6.521 | 2.549 | 0.011 | 4.745(1.681~19.977) |
| SDANN | -0.011 | 0.003 | 15.158 | -3.884 | <0.001 | 0.989(0.983~0.994) |
| rMSSD | -0.014 | 0.007 | 4.214 | -2.028 | 0.043 | 0.986(0.972~0.999) |
| 睡眠效率 | -0.012 | 0.004 | 11.706 | -3.314 | <0.001 | 0.988(0.982~0.995) |
图2 老年心血管代谢疾病患者抑郁发生风险的列线图预测模型注:SDANN=RR间期平均值标准差,rMSSD=正常相邻窦性RR间期差值均方根。
Figure 2 Nomogram prediction model for the risk of depression in elderly patients with cardiometabolic diseases
图3 列线图预测模型预测老年心血管代谢疾病患者抑郁发生风险的ROC曲线注:A为训练集,B为验证集;ROC=受试者工作特征,AUC=ROC曲线下面积。
Figure 3 ROC curve of the nomogram prediction model for predicting depression risk in elderly patients with cardiometabolic diseases
图4 列线图预测模型预测老年心血管代谢疾病患者抑郁发生风险的校准曲线注:A为训练集,B为验证集。
Figure 4 Calibration curve of the nomogram prediction model for predicting depression risk in elderly patients with cardiometabolic diseases
图5 列线图预测模型预测老年心血管代谢疾病患者抑郁发生风险的决策曲线注:A为训练集,B为验证集。
Figure 5 Decision curve of the nomogram prediction model for predicting depression risk in elderly patients with cardiometabolic diseases
| [1] |
|
| [2] |
|
| [3] |
|
| [4] |
|
| [5] |
|
| [6] |
|
| [7] |
|
| [8] |
|
| [9] |
|
| [10] |
|
| [11] |
|
| [12] |
|
| [13] |
|
| [14] |
|
| [15] |
余新艳,苏鹏,袁晓静,等. 基层老年慢性病患者心血管疾病综合发生风险的影响因素研究[J]. 中国全科医学, 2024, 27(10): 1186-1193, 1200.
|
| [16] |
余新艳,赵珺,赵晓晔,等. 移动智慧医疗在基层老年慢性病患者心血管病防控中的应用研究[J]. 中国全科医学, 2023, 26(33): 4167-4172.
|
| [17] |
|
| [18] |
中华医学会,中华医学会杂志社,中华医学会全科医学分会,等. 抑郁症基层诊疗指南(2021年)[J]. 中华全科医师杂志, 2021, 20(12): 1249-1260.
|
| [19] |
中华医学会,中华医学会杂志社,中华医学会全科医学分会,等. 广泛性焦虑障碍基层诊疗指南(2021年)[J]. 中华全科医师杂志, 2021, 20(12): 1232-1241.
|
| [20] |
Task Force of the European Society of Cardiology and the North American Society of Pacing and Electrophysiology. Heart rate variability: standards of measurement, physiological interpretation, and clinical use[J]. Noninvasive Electrocardiol, 1996, 1(2): 151-181.
|
| [21] |
中国老年型糖尿病防治临床指南编写组,中国老年医学学会老年内分泌代谢分会,中国老年保健医学研究会老年内分泌与代谢分会,等. 中国老年2型糖尿病防治临床指南(2022年版)[J]. 中华内科杂志, 2022, 61(1): 12-50.
|
| [22] |
|
| [23] |
中国老年医学学会高血压分会,北京高血压防治协会,国家老年疾病临床医学研究中心(中国人民解放军总医院),等. 中国老年高血压管理指南2023[J]. 中华高血压杂志, 2023, 31(6): 508-538. DOI: 10.16439/j.issn.1673-7245.2023.06.003.
|
| [24] |
|
| [25] |
|
| [26] |
赵慧,王志伟,马婷婷,等. 基于倾向性评分匹配法的慢性病共病对我国中老年人抑郁症状的影响研究[J]. 医学与社会, 2022, 35(6): 127-132, 144. DOI: 10.13723/j.yxysh.2022.06.024.
|
| [27] |
郑文娟,戚瑞,王丹,等. 基于健康信念模型理论的中老年2型糖尿病患者服药依从性影响因素分析[J]. 实用预防医学, 2021, 28(8): 991-994.
|
| [28] |
刘海燕,马萍,徐清斌,等. 宁夏吴忠市高血压患病率、知晓率、治疗率、控制率的调查分析[J]. 实用医学杂志, 2012, 28(2): 313-316.
|
| [29] |
黄紫婷,罗颜,苏鹤轩,等. 中国老年心血管代谢性共病与抑郁症状的关系[J]. 中国慢性病预防与控制, 2021, 29(9): 644-648. DOI: 10.16386/j.cjpccd.issn.1004-6194.2021.09.002.
|
| [30] |
|
| [31] |
高月霞,徐程,刘国恩,等. 社会支持对老年人健康相关生命质量影响研究——基于南通的实证[J]. 人口与发展, 2013, 19(4): 73-81. DOI: 10.3969/j.issn.1674-1668.2013.04.009.
|
| [32] |
吴小婷,储爱琴,张海玲,等. 孤独感在社区老年慢性病患者述情障碍和抑郁间的中介效应研究[J]. 中国全科医学, 2021, 24(36): 4563-4568. DOI: 10.12114/j.issn.1007-9572.2021.02.082.
|
| [33] |
|
| [34] |
李豪豪,李卓群. 患慢性病对老年人抑郁症状的影响[J]. 中国健康教育, 2024, 40(6): 525-530.
|
| [35] |
杨丽,陈长香,李建民,等. 城乡老年人睡眠质量现状调查[J]. 现代预防医学, 2006, 33(7): 1297.
|
| [36] |
|
| [37] |
|
| [38] |
|
| [39] |
|
| [40] |
|
| [41] |
|
| [42] |
陈婷,张泽彧,陈喆,等. 睡眠时间不足致脂肪细胞因子分泌紊乱与肥胖相关性的研究进展[J]. 上海交通大学学报(医学版), 2013, 33(3): 359-362.
|
| [43] |
|
| [44] |
张先庚,王玉婷,刘林峰,等. 基于智慧服务平台的运动方案对糖尿病前期老年人运动效能的影响研究[J/OL]. 成都医学院学报, 2024.(2024-08-28)[2025-01-10].
|
| [45] |
|
| [46] |
王潘悦,王艳. 中等强度健步走对中老年高血压患者睡眠质量的影响[J]. 中国运动医学杂志, 2024, 43(6): 465-472.
|
| [47] |
|
| [48] |
张易,郑素珍,杨丽薇,等. 中度有氧运动对老年抑郁症病人5-羟色胺、去甲肾上腺素水平及自主神经功能的干预效果研究[J]. 实用老年医学, 2023, 37(6): 595-598.
|
| [49] |
王建云. 社区居家失能老年人精神健康的社会支持体系构建研究[D]. 上海: 华东师范大学, 2021.
|
| [50] |
|
| [51] |
|
| [52] |
|
| [53] |
|
| [54] |
|
| [55] |
|
| [56] |
|
| [57] |
李斌,郭颖强,安邦,等. 老年心律失常患者的抑郁、焦虑情绪和睡眠质量及心率变异性的研究[J]. 国际精神病学杂志, 2016, 43(6): 1029-1032.
|
| [58] |
王福军,罗亚雄,向红菊,等. 心脏早搏患者伴焦虑抑郁的治疗及其对生活质量的影响[J]. 中国医药, 2012, 7(2): 137-139. DOI: 10.3760/cma.j.issn.1673-4777.2012.02.004.
|
| [59] |
|
| [60] |
|
| [61] |
|
| [62] |
毛家亮,鲍正宇,李春波,等. 对心脏早搏患者伴发的焦虑抑郁症状的治疗及其意义[J]. 中国心脏起搏与心电生理杂志, 2008, 22(3): 206-209.
|
| [63] |
|
| [64] |
|
| [65] |
|
| [66] |
冯蕾,李诺,陈玲,等. 社区老年慢性病患者共病焦虑及抑郁症状的横断面研究[J]. 精神医学杂志, 2023, 36(4): 381-386.
|
| [67] |
周云飞,刘铁榜. 矛盾性失眠研究进展[J]. 临床精神医学杂志, 2019, 29(2): 139-141.
|
| [68] |
|
| [69] |
|
| [70] |
彭婉晴,罗帏,周仁来. 工作记忆刷新训练改善抑郁倾向大学生情绪调节能力的HRV证据[J]. 心理学报, 2019, 51(6): 648-661. DOI: 10.3724/SP.J.1041.2019.00648.
|
| [71] |
姜敏敏,谭磊,房亚明,等. 广州市社区老年人睡眠质量、自我觉知健康水平与抑郁的相关性[J]. 中国老年学杂志, 2021, 41(18): 4095-4098. DOI: 10.3969/j.issn.1005-9202.2021.18.058.
|
| [72] |
|
| [73] |
|
| [74] |
|
| [75] |
晏月平,李雅琳. 独居老人的多维健康脆弱性研究——基于"中国老年健康影响因素跟踪调查"的实证分析[J]. 云南民族大学学报(哲学社会科学版), 2022, 39(4): 64-75. DOI: 10.13727/j.cnki.53-1191/c.20220704.007.
|
| [1] | 廖秋红, 陶红, 杨晓辉, 袁勇贵, 林珊珊, 徐微, 李玉秀, 裴育. 2型糖尿病患者抑郁现状及危险因素:一项全国多中心横断面研究[J]. 中国全科医学, 2026, 29(12): 1558-1565. |
| [2] | 张涵, 张华, 蔡根深, 廉东波, 张晶. 基层医疗卫生机构减重门诊建设与典型案例研究[J]. 中国全科医学, 2026, 29(12): 1520-1524. |
| [3] | 李鲤, 徐天朝, 董晓梅, 黄鸿飞, 崔刚, 李冬冬, 张欧, 范琳, 王奇. 补肾健脑针刺疗法联合舍曲林治疗老年抑郁症的效果:一项随机对照试验[J]. 中国全科医学, 2026, 29(11): 1399-1404. |
| [4] | 彭骏, 丁静林, 郝辰业, 吴骋, 朱荣慧, 顾春光, 管文琦, 万辉. 线上与线下培训对老年人数字健康素养提升效果的随机对照研究[J]. 中国全科医学, 2026, 29(10): 1348-1353. |
| [5] | 中华医学会老年医学分会, 国家老年疾病临床医学研究中心(宣武医院). 老年人内在能力筛查与综合评估中国专家共识[J]. 中国全科医学, 2026, 29(10): 1225-1238. |
| [6] | 胡嘉琦, 李端, 方昊, 樊兴颖, 杜薇, 周涵妮. 基于体检人群队列的高尿酸血症非遗传因素风险预测模型构建研究[J]. 中国全科医学, 2026, 29(10): 1324-1333. |
| [7] | 曹磊, 刘学春, 江伟, 陈炎, 严孙宏, 杜静. 颞肌横截面积和颞肌厚度预测急性缺血性脑卒中患者肌肉衰减状态的研究[J]. 中国全科医学, 2026, 29(08): 997-1007. |
| [8] | 黎珏希, 李立圆, 郭雨璇, 肖小嫱, 唐佩琪, 蒲婷, 左海汐, 杨婷, 樊小夏, 周波. 童年创伤与青少年网络成瘾:抑郁症状和学业倦怠的链式中介作用及性别的调节作用[J]. 中国全科医学, 2026, 29(07): 900-906. |
| [9] | 李丽清, 刘文慧, 杨嘉逸, 王芳. 我国中部六省优质医疗资源与经济社会耦合协调发展的时空演化与趋势预测[J]. 中国全科医学, 2026, 29(07): 844-850. |
| [10] | 唐馨怡, 胡新雨, 刘姗姗, 张宜民. 基于倾向性评分匹配法的健康档案建立对老年人就医行为影响研究[J]. 中国全科医学, 2026, 29(07): 858-863. |
| [11] | 杨娟, 刘姗, 李飞, 孟浩东, 乔慧, 谢永鑫. 宁夏农村中老年人健康冲击的动态监测及影响因素研究:基于全面脱贫前后14年四期随访数据的实证研究[J]. 中国全科医学, 2026, 29(07): 914-921. |
| [12] | 张玲, 黄双英, 徐慧, 梅慧婷, 洪咏萍. 不同运动方式对老年人跌倒效能影响的网状Meta分析[J]. 中国全科医学, 2026, 29(06): 741-751. |
| [13] | 李纪新, 邱林杰, 任燕, 王文茹, 李美洁, 栗文婕, 邹姹姹, 吴梓敬, 张晋. 肌肉与脂肪比值对非超重/肥胖2型糖尿病的预测价值研究[J]. 中国全科医学, 2026, 29(06): 726-732. |
| [14] | 张祉薇, 贺盼盼, 杨茜文, 金雪怡, 毛雪倩, 胡颖, 井立鹏. 农村老年人不同肥胖指标与衰弱的相关性研究[J]. 中国全科医学, 2026, 29(06): 699-709. |
| [15] | 张彦景, 周春华, 李晓东, 刘琰, 王婧, 于静. 文拉法辛血药浓度超警戒值风险预测模型的临床价值研究[J]. 中国全科医学, 2026, 29(06): 777-782. |
| 阅读次数 | ||||||
|
全文 |
|
|||||
|
摘要 |
|
|||||





