中国全科医学 ›› 2025, Vol. 28 ›› Issue (35): 4449-4456.DOI: 10.12114/j.issn.1007-9572.2024.0692

• 论著 • 上一篇    下一篇

Gas6在浸润性乳腺癌中的表达及其与临床病理特征和预后相关性研究

周倩梅, 缪卡莉, 钟永鸣, 张辅满, 张哲, 李成贻*()   

  1. 355099 福建省福安市,福建医科大学附属闽东医院乳腺外科
  • 收稿日期:2024-10-08 修回日期:2025-01-22 出版日期:2025-12-15 发布日期:2025-10-15
  • 通讯作者: 李成贻

  • 作者贡献:

    周倩梅提出主要研究目标,负责研究的构思与设计,研究的实施,撰写论文;缪卡莉、钟永鸣进行数据的收集与整理,统计学处理,图、表的绘制与展示;张辅满、张哲进行论文的修订;李成贻负责文章的质量控制与审查,对文章整体负责,监督管理。

  • 基金资助:
    福建省自然科学基金资助项目(2021J011457)

Gas6 Expression in Breast Cancer and Correlation with Clinical Pathological Features and Prognosis

ZHOU Qianmei, MIAO Kali, ZHONG Yongming, ZHANG Fuman, ZHANG Zhe, LI Chengyi*()   

  1. Department of Breast Surgery, Fujian Medical University Affiliated Mindong Hospital, Fuan 355099, China
  • Received:2024-10-08 Revised:2025-01-22 Published:2025-12-15 Online:2025-10-15
  • Contact: LI Chengyi

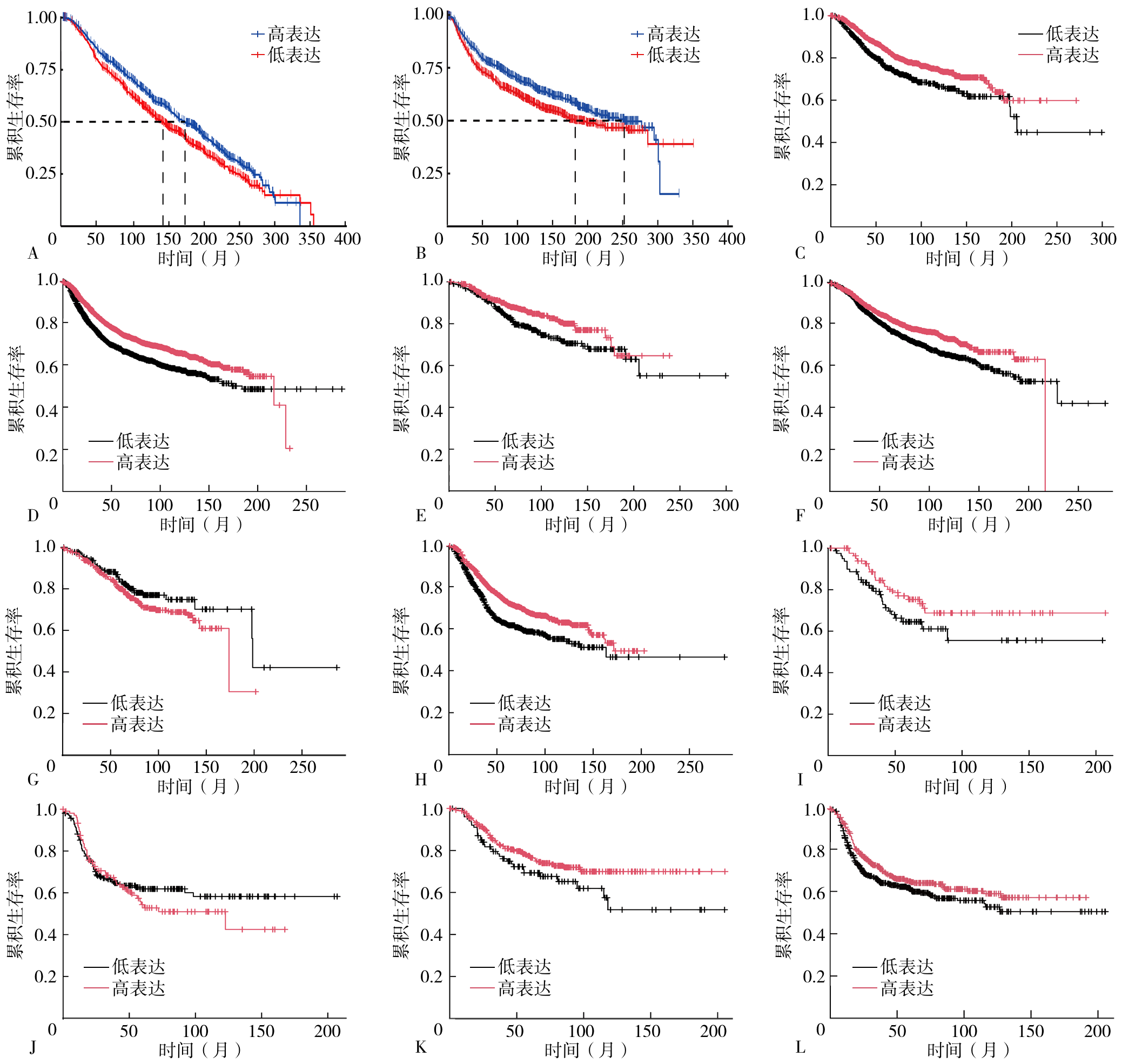
摘要: 背景 AXL/生长停滞特异性蛋白6(Gas6)信号通路靶向药物是目前肿瘤药物研究的新热点,但Gas6在乳腺癌中的表达及其作用尚存在争议。 目的 探讨Gas6和AXL在乳腺癌中的表达及Gas6与临床病理特征和预后的相关性。 方法 纳入2019年10月—2022年2月就诊于福建医科大学附属闽东医院乳腺外科的60例浸润性乳腺癌患者为研究对象,收集患者手术切除癌组织及癌旁组织标本,使用免疫组织化学染色和实时荧光定量PCR(RT-qPCR)检测Gas6及AXL的表达情况,采用Spearman秩相关分析探究二者及Gas6与临床病理特征的相关性。收集GEPIA2.0、UALCAN、METABRIC数据库中乳腺癌和正常乳腺组织Gas6和AXL基因表达数据进行补充验证;收集METABRIC数据库和Kaplan-Meier Plotter数据平台不同乳腺癌亚型患者的生存数据,采用Kaplan-Meier法绘制生存曲线,采用Cox比例风险模型评估Gas6表达水平对总生存期(OS)和无复发生存期(RFS)的影响。 结果 免疫组织化学染色和RT-qPCR检测结果显示,乳腺癌组织中Gas6蛋白和mRNA的相对表达量均低于癌旁组织(P<0.001);乳腺癌组织中AXL蛋白和mRNA的相对表达量均高于癌旁组织(P<0.001)。基于数据库相关性分析结果显示,在乳腺癌总人群和4种亚型患者中Gas6和AXL mRNA表达呈正相关(rs=0.480,P<0.001),且不同乳腺癌分子分型、原发肿瘤分期、组织学分级、化疗、区域淋巴结分期患者Gas6 mRNA表达水平比较,差异有统计学意义(P<0.05);Kaplan-Meier生存分析结果显示,乳腺癌总人群及Luminal A亚型患者的癌组织Gas6 mRNA高表达组的OS和RFS均高于低表达组,且Luminal B亚型患者的癌组织Gas6 mRNA高表达组RFS高于低表达组(P<0.05)。 结论 肿瘤细胞来源的Gas6高表达是浸润性乳腺癌有利的预后因素,在乳腺癌中靶向Gas6及其受体是一种有前途的治疗方法,尤其是针对与免疫疗法结合使用时具有更高的临床价值。

关键词: 乳腺癌, 生长停滞特异性蛋白6, AXL, 预后, Spearman秩相关分析

Abstract:

Background

Targeted drugs for the AXL/Gas6 signaling pathway have become a new focus in current cancer drug research. However, there is significant controversy over the expression and role of Gas6 in breast cancer.

Objective

To investigate the expression of Gas6 and AXL in breast cancer and to explore the correlation of GAS6 with clinicopathological features and prognosis.

Methods

A total of 60 patients with invasive breast cancer who were treated at the Department of Breast Surgery, Fujian Medical University Affiliated Mindong Hospital from October 2019 to February 2022 were included. Surgical resection specimens of cancerous and adjacent tissues were collected from these patients. The expressions of Gas6 and AXL were detected using immunohistochemical staining and real-time fluorescence quantitative PCR (RT-qPCR). Spearman rank correlation analysis was employed to assess the correlation between the two factors and the relationship between Gas6 and clinical pathological features. Additionally, gene expression data for Gas6 and AXL in breast cancer and normal breast tissues were collected from the GEPIA2.0, UALCAN, and METABRIC databases for supplementary validation. Survival data for different breast cancer subtypes were collected from the METABRIC database and Kaplan-Meier Plotter data platform. The survival curve was plotted using the Kaplan-Meier method, and the Cox proportional hazards model was used to evaluate the effect of Gas6 expression level on overall survival (OS) and recurrence-free survival (RFS) .

Results

Immunohistochemical staining and RT-qPCR detection results showed that the relative expression levels of Gas6 protein and mRNA in breast cancer tissues were lower than those in adjacent non-cancerous tissues (P<0.001). In contrast, the relative expression levels of AXL protein and mRNA in breast cancer tissues were higher than those in adjacent non-cancerous tissues (P<0.001). Spearman correlation analysis based on the databases revealed that there was a positive correlation between Gas6 and AXL mRNA expression in the total breast cancer population and four subtypes of patients (rs=0.480, P<0.001). Moreover, statistically significant differences were observed in Gas6 mRNA expression levels among patients with different breast cancer molecular subtypes, primary tumor stages, histological grades, chemotherapy treatments and regional lymph node stages (P<0.05). Kaplan-Meier survival analysis indicated that in the overall breast cancer population and among patients with Luminal A subtype, the group with high Gas6 mRNA expression in cancerous tissues had a longer OS and RFS compared to the low expression group. Additionally, for Luminal B subtype patients, RFS of the high Gas6 mRNA expression group in cancerous tissues is also longer than that of the low expression group, with these differences being statistically significant (P<0.05) .

Conclusion

High expression of tumor cell-derived Gas6 is a favorable prognostic factor for invasive breast cancer. Targeting Gas6 and its receptor in breast cancer represents a promising therapeutic approach, particularly when combined with immunotherapy.

Key words: Breast cancer, Gas6, AXL, Prognosis, Spearman rank correlation analysis

中图分类号: