
Chinese General Practice ›› 2026, Vol. 29 ›› Issue (03): 361-372.DOI: 10.12114/j.issn.1007-9572.2025.0017
• Article·Focus on "Year of Weight Management"·Nutrition and Weight Management • Previous Articles
Received:2025-03-14
Revised:2025-06-28
Published:2026-01-20
Online:2025-12-11
Contact:
TIAN Xiangyang, GONG Shaoqing
About author:CHEN Zhixin and ZHANG Li are co-first authors
通讯作者:
田向阳, 巩少青
作者简介:陈志昕和章力为共同第一作者
作者贡献:
陈志昕、章力参与数据清理、统计分析,起草文章;郭馨月参与问卷设计、数据清理、现场调查;周忠良、张建端、徐锦杭、荣胜忠、赵莉、田琦玥、王素芳、巩少青参与现场调查;田向阳参与课题设计、统计分析、论文撰写及论文审阅。
基金资助:
Add to citation manager EndNote|Ris|BibTeX
URL: https://www.chinagp.net/EN/10.12114/j.issn.1007-9572.2025.0017
| 年龄 | 性别 | BMI(kg/m2) |
|---|---|---|
| 16岁 | 男 | ≥27.1 |
| 女 | ≥27.1 | |
| 17岁 | 男 | ≥27.6 |
| 女 | ≥27.6 | |
| 18~19岁 | — | ≥28.0 |
Table 1 Screening criteria for obesity among respondents aged 16-19 years
| 年龄 | 性别 | BMI(kg/m2) |
|---|---|---|
| 16岁 | 男 | ≥27.1 |
| 女 | ≥27.1 | |
| 17岁 | 男 | ≥27.6 |
| 女 | ≥27.6 | |
| 18~19岁 | — | ≥28.0 |
| 项目 | 例数 | 肥胖 | χ2(χ2趋势)值 | P值 |
|---|---|---|---|---|
| 性别 | 78.00 | <0.001 | ||
| 男 | 6 710 | 874(13.02) | ||
| 女 | 9 735 | 849(8.72) | ||
| 年龄 | 12.32 | <0.001 | ||
| 16岁① | 829 | 105(12.67) | ||
| 17岁② | 1 829 | 224(12.25) | ||
| 18岁③ | 9 618 | 961(9.99)bc | ||
| 19岁④ | 4 169 | 433(10.39)bc | ||
| 是否独生子女 | 2.54 | 0.072 | ||
| 是 | 5 375 | 593(11.22) | ||
| 否 | 11 070 | 1 130(10.21) | ||
| 父亲文化程度 | 0.71 | 0.895 | ||
| 初中及以下 | 7 760 | 820(10.57) | ||
| 高中/中专 | 4 734 | 487(10.29) | ||
| 大专/本科 | 3 579 | 373(10.42) | ||
| 硕士研究生及以上 | 372 | 43(11.56) | ||
| 母亲文化程度 | 3.25 | 0.378 | ||
| 初中及以下 | 8 566 | 878(10.25) | ||
| 高中/中专 | 4 415 | 485(10.99) | ||
| 大专/本科 | 3 196 | 326(10.20) | ||
| 硕士研究生及以上 | 268 | 34(12.69) | ||
| 父亲体重情况 | 78.61 | <0.001 | ||
| 偏瘦① | 1 449 | 117(8.07) | ||
| 正常② | 11 604 | 1 107(9.54) | ||
| 超重③ | 2 465 | 356(14.44) | ||
| 肥胖④ | 643 | 105(16.33)de | ||
| 不清楚⑤ | 284 | 38(13.38) | ||
| 母亲体重情况 | 51.70 | <0.001 | ||
| 偏瘦① | 1 289 | 130(10.09) | ||
| 正常② | 13 313 | 1 300(9.76) | ||
| 超重③ | 1 368 | 212(15.50) | ||
| 肥胖④ | 256 | 45(17.58)de | ||
| 不清楚⑤ | 219 | 36(16.44) | ||
| 就餐地点 | 4.55 | 0.097 | ||
| 在家 | 3 099 | 336(10.84) | ||
| 在学校 | 10 099 | 1 019(10.09) | ||
| 早晚餐在家午餐在学校 | 3 247 | 368(11.33) | ||
| 进食速度 | 118.84a | <0.001 | ||
| 快很多① | 3 908 | 587(15.02) | ||
| 稍快② | 10 930 | 1 029(9.41) | ||
| 慢很多③ | 1 607 | 107(6.66) | ||
| 早餐频次 | 21.95 | <0.001 | ||
| 每天① | 7 826 | 787(10.06) | ||
| 经常② | 5 547 | 542(9.77) | ||
| 偶尔③ | 2 305 | 301(13.06)bc | ||
| 从不/很少④ | 767 | 93(12.13)c | ||
| 夜间进食 | 2.36 | 0.616 | ||
| 每天 | 1 026 | 102(9.94) | ||
| 经常 | 4 288 | 448(10.45) | ||
| 偶尔 | 7 763 | 839(10.81) | ||
| 从不/很少 | 3 368 | 334(9.92) |
Table 2 Comparison of obesity rates among adolescents with different characteristics
| 项目 | 例数 | 肥胖 | χ2(χ2趋势)值 | P值 |
|---|---|---|---|---|
| 性别 | 78.00 | <0.001 | ||
| 男 | 6 710 | 874(13.02) | ||
| 女 | 9 735 | 849(8.72) | ||
| 年龄 | 12.32 | <0.001 | ||
| 16岁① | 829 | 105(12.67) | ||
| 17岁② | 1 829 | 224(12.25) | ||
| 18岁③ | 9 618 | 961(9.99)bc | ||
| 19岁④ | 4 169 | 433(10.39)bc | ||
| 是否独生子女 | 2.54 | 0.072 | ||
| 是 | 5 375 | 593(11.22) | ||
| 否 | 11 070 | 1 130(10.21) | ||
| 父亲文化程度 | 0.71 | 0.895 | ||
| 初中及以下 | 7 760 | 820(10.57) | ||
| 高中/中专 | 4 734 | 487(10.29) | ||
| 大专/本科 | 3 579 | 373(10.42) | ||
| 硕士研究生及以上 | 372 | 43(11.56) | ||
| 母亲文化程度 | 3.25 | 0.378 | ||
| 初中及以下 | 8 566 | 878(10.25) | ||
| 高中/中专 | 4 415 | 485(10.99) | ||
| 大专/本科 | 3 196 | 326(10.20) | ||
| 硕士研究生及以上 | 268 | 34(12.69) | ||
| 父亲体重情况 | 78.61 | <0.001 | ||
| 偏瘦① | 1 449 | 117(8.07) | ||
| 正常② | 11 604 | 1 107(9.54) | ||
| 超重③ | 2 465 | 356(14.44) | ||
| 肥胖④ | 643 | 105(16.33)de | ||
| 不清楚⑤ | 284 | 38(13.38) | ||
| 母亲体重情况 | 51.70 | <0.001 | ||
| 偏瘦① | 1 289 | 130(10.09) | ||
| 正常② | 13 313 | 1 300(9.76) | ||
| 超重③ | 1 368 | 212(15.50) | ||
| 肥胖④ | 256 | 45(17.58)de | ||
| 不清楚⑤ | 219 | 36(16.44) | ||
| 就餐地点 | 4.55 | 0.097 | ||
| 在家 | 3 099 | 336(10.84) | ||
| 在学校 | 10 099 | 1 019(10.09) | ||
| 早晚餐在家午餐在学校 | 3 247 | 368(11.33) | ||
| 进食速度 | 118.84a | <0.001 | ||
| 快很多① | 3 908 | 587(15.02) | ||
| 稍快② | 10 930 | 1 029(9.41) | ||
| 慢很多③ | 1 607 | 107(6.66) | ||
| 早餐频次 | 21.95 | <0.001 | ||
| 每天① | 7 826 | 787(10.06) | ||
| 经常② | 5 547 | 542(9.77) | ||
| 偶尔③ | 2 305 | 301(13.06)bc | ||
| 从不/很少④ | 767 | 93(12.13)c | ||
| 夜间进食 | 2.36 | 0.616 | ||
| 每天 | 1 026 | 102(9.94) | ||
| 经常 | 4 288 | 448(10.45) | ||
| 偶尔 | 7 763 | 839(10.81) | ||
| 从不/很少 | 3 368 | 334(9.92) |
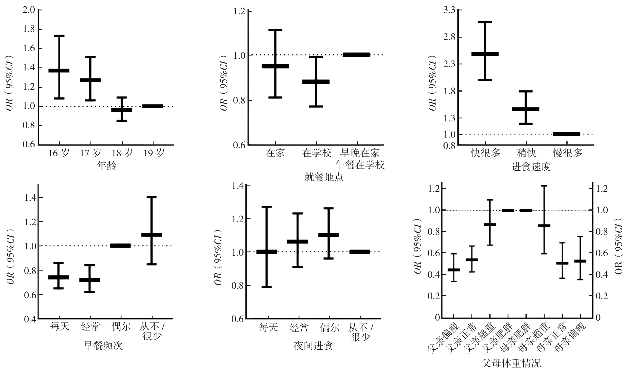
| 自变量 | B | SE | Wald χ2值 | P值 | OR值 | 95%CI |
|---|---|---|---|---|---|---|
| 性别(以女为参照) | ||||||
| 男 | 0.38 | 0.05 | 48.93 | 0.01 | 1.46 | 1.31~1.62 |
| 年龄(以19岁为参照) | 18.41 | 0.01 | ||||
| 16岁 | 0.31 | 0.12 | 6.68 | 0.01 | 1.37 | 1.08~1.73 |
| 17岁 | 0.24 | 0.09 | 6.83 | 0.01 | 1.27 | 1.06~1.51 |
| 18岁 | -0.04 | 0.06 | 0.37 | 0.55 | 0.96 | 0.85~1.09 |
| 是否独生子女(以否为参照) | ||||||
| 是 | 0.04 | 0.06 | 0.53 | 0.47 | 1.04 | 0.93~1.17 |
| 父亲文化程度(以硕士研究生及以上为参照) | 1.73 | 0.63 | ||||
| 初中及以下 | 0.02 | 0.23 | 0.01 | 0.92 | 1.02 | 0.66~1.59 |
| 高中/中专 | -0.07 | 0.22 | 0.09 | 0.77 | 0.94 | 0.61~1.45 |
| 大专/本科 | -0.07 | 0.21 | 0.09 | 0.76 | 0.94 | 0.62~1.42 |
| 母亲文化程度(以硕士研究生及以上为参照) | 3.22 | 0.36 | ||||
| 初中及以下 | -0.11 | 0.26 | 0.19 | 0.67 | 0.89 | 0.54~1.49 |
| 高中/中专 | -0.01 | 0.26 | 0.00 | 0.98 | 0.99 | 0.60~1.65 |
| 大专/本科 | -0.12 | 0.25 | 0.25 | 0.62 | 0.88 | 0.54~1.44 |
| 父亲体重情况(以肥胖为参照) | 48.23 | 0.01 | ||||
| 偏瘦 | -0.68 | 0.15 | 21.04 | 0.01 | 0.51 | 0.38~0.68 |
| 正常 | -0.46 | 0.12 | 15.50 | 0.01 | 0.63 | 0.50~0.79 |
| 超重 | -0.11 | 0.13 | 0.70 | 0.40 | 0.90 | 0.70~1.15 |
| 母亲体重情况(以肥胖为参照) | 32.52 | 0.01 | ||||
| 偏瘦 | -0.43 | 0.20 | 4.59 | 0.03 | 0.65 | 0.44~0.96 |
| 正常 | -0.47 | 0.18 | 6.88 | 0.01 | 0.63 | 0.44~0.89 |
| 超重 | -0.03 | 0.19 | 0.03 | 0.87 | 0.97 | 0.67~1.41 |
| 进食速度(以慢很多为参照) | 78.24 | 0.01 | ||||
| 快很多 | 0.79 | 0.11 | 48.38 | 0.01 | 2.19 | 1.76~2.74 |
| 稍快 | 0.35 | 0.11 | 10.49 | 0.01 | 1.42 | 1.15~1.75 |
| 就餐地点(以早晚餐在家午餐在学校为参照) | 5.17 | 0.07 | ||||
| 在家 | -0.07 | 0.08 | 0.79 | 0.38 | 0.93 | 0.79~1.09 |
| 在学校 | -0.15 | 0.07 | 4.91 | 0.03 | 0.86 | 0.75~0.98 |
| 早餐频次(以从不/很少为参照) | 23.33 | 0.01 | ||||
| 每天 | -0.23 | 0.12 | 3.59 | 0.06 | 0.80 | 0.63~1.01 |
| 经常 | -0.20 | 0.12 | 2.67 | 0.10 | 0.82 | 0.64~1.04 |
| 偶尔 | 0.11 | 0.13 | 0.70 | 0.40 | 1.12 | 0.86~1.44 |
| 夜间进食(以从不/很少为参照) | 3.54 | 0.32 | ||||
| 每天 | -0.14 | 0.12 | 1.24 | 0.27 | 0.87 | 0.69~1.11 |
| 经常 | 0.01 | 0.08 | 0.02 | 0.88 | 1.01 | 0.87~1.18 |
| 偶尔 | 0.06 | 0.07 | 0.82 | 0.37 | 1.07 | 0.93~1.22 |
Table 3 Multivariate Logistic regression analysis of risk factors for obesity in adolescents
| 自变量 | B | SE | Wald χ2值 | P值 | OR值 | 95%CI |
|---|---|---|---|---|---|---|
| 性别(以女为参照) | ||||||
| 男 | 0.38 | 0.05 | 48.93 | 0.01 | 1.46 | 1.31~1.62 |
| 年龄(以19岁为参照) | 18.41 | 0.01 | ||||
| 16岁 | 0.31 | 0.12 | 6.68 | 0.01 | 1.37 | 1.08~1.73 |
| 17岁 | 0.24 | 0.09 | 6.83 | 0.01 | 1.27 | 1.06~1.51 |
| 18岁 | -0.04 | 0.06 | 0.37 | 0.55 | 0.96 | 0.85~1.09 |
| 是否独生子女(以否为参照) | ||||||
| 是 | 0.04 | 0.06 | 0.53 | 0.47 | 1.04 | 0.93~1.17 |
| 父亲文化程度(以硕士研究生及以上为参照) | 1.73 | 0.63 | ||||
| 初中及以下 | 0.02 | 0.23 | 0.01 | 0.92 | 1.02 | 0.66~1.59 |
| 高中/中专 | -0.07 | 0.22 | 0.09 | 0.77 | 0.94 | 0.61~1.45 |
| 大专/本科 | -0.07 | 0.21 | 0.09 | 0.76 | 0.94 | 0.62~1.42 |
| 母亲文化程度(以硕士研究生及以上为参照) | 3.22 | 0.36 | ||||
| 初中及以下 | -0.11 | 0.26 | 0.19 | 0.67 | 0.89 | 0.54~1.49 |
| 高中/中专 | -0.01 | 0.26 | 0.00 | 0.98 | 0.99 | 0.60~1.65 |
| 大专/本科 | -0.12 | 0.25 | 0.25 | 0.62 | 0.88 | 0.54~1.44 |
| 父亲体重情况(以肥胖为参照) | 48.23 | 0.01 | ||||
| 偏瘦 | -0.68 | 0.15 | 21.04 | 0.01 | 0.51 | 0.38~0.68 |
| 正常 | -0.46 | 0.12 | 15.50 | 0.01 | 0.63 | 0.50~0.79 |
| 超重 | -0.11 | 0.13 | 0.70 | 0.40 | 0.90 | 0.70~1.15 |
| 母亲体重情况(以肥胖为参照) | 32.52 | 0.01 | ||||
| 偏瘦 | -0.43 | 0.20 | 4.59 | 0.03 | 0.65 | 0.44~0.96 |
| 正常 | -0.47 | 0.18 | 6.88 | 0.01 | 0.63 | 0.44~0.89 |
| 超重 | -0.03 | 0.19 | 0.03 | 0.87 | 0.97 | 0.67~1.41 |
| 进食速度(以慢很多为参照) | 78.24 | 0.01 | ||||
| 快很多 | 0.79 | 0.11 | 48.38 | 0.01 | 2.19 | 1.76~2.74 |
| 稍快 | 0.35 | 0.11 | 10.49 | 0.01 | 1.42 | 1.15~1.75 |
| 就餐地点(以早晚餐在家午餐在学校为参照) | 5.17 | 0.07 | ||||
| 在家 | -0.07 | 0.08 | 0.79 | 0.38 | 0.93 | 0.79~1.09 |
| 在学校 | -0.15 | 0.07 | 4.91 | 0.03 | 0.86 | 0.75~0.98 |
| 早餐频次(以从不/很少为参照) | 23.33 | 0.01 | ||||
| 每天 | -0.23 | 0.12 | 3.59 | 0.06 | 0.80 | 0.63~1.01 |
| 经常 | -0.20 | 0.12 | 2.67 | 0.10 | 0.82 | 0.64~1.04 |
| 偶尔 | 0.11 | 0.13 | 0.70 | 0.40 | 1.12 | 0.86~1.44 |
| 夜间进食(以从不/很少为参照) | 3.54 | 0.32 | ||||
| 每天 | -0.14 | 0.12 | 1.24 | 0.27 | 0.87 | 0.69~1.11 |
| 经常 | 0.01 | 0.08 | 0.02 | 0.88 | 1.01 | 0.87~1.18 |
| 偶尔 | 0.06 | 0.07 | 0.82 | 0.37 | 1.07 | 0.93~1.22 |
| 自变量 | 女生 | 男生 | ||||||||||
|---|---|---|---|---|---|---|---|---|---|---|---|---|
| B | SE | Wald χ2值 | P值 | OR值 | 95%CI | B | SE | Wald χ2值 | P值 | OR值 | 95%CI | |
| 年龄(以19岁为参照) | 17.03 | 0.01 | 11.43 | 0.01 | ||||||||
| 16岁 | 0.30 | 0.16 | 3.34 | 0.06 | 1.34 | 0.99~1.81 | 0.44 | 0.19 | 5.44 | 0.02 | 1.55 | 1.07~2.24 |
| 17岁 | 0.21 | 0.13 | 2.79 | 0.18 | 1.18 | 0.93~1.49 | 0.40 | 0.14 | 8.62 | 0.01 | 1.49 | 1.14~1.95 |
| 18岁 | -0.17 | 0.09 | 3.38 | 0.06 | 0.85 | 0.72~1.01 | 0.14 | 0.10 | 2.08 | 0.15 | 1.15 | 0.95~1.39 |
| 是否独生子女(以否为参照) | ||||||||||||
| 是 | -0.30 | 0.10 | 9.32 | 0.04 | 0.83 | 0.70~0.99 | 0.21 | 0.08 | 6.30 | 0.01 | 1.23 | 1.05~1.45 |
| 父亲文化程度(以硕士研究生及以上为参照) | 0.51 | 0.84 | 1.38 | 0.71 | ||||||||
| 初中及以下 | 0.13 | 0.41 | 0.10 | 0.71 | 1.15 | 0.56~2.38 | 0.05 | 0.30 | 0.03 | 0.86 | 1.06 | 0.59~1.89 |
| 高中/中专 | 0.13 | 0.41 | 0.10 | 0.84 | 1.08 | 0.52~2.22 | -0.07 | 0.29 | 0.06 | 0.81 | 0.93 | 0.53~1.65 |
| 大专/本科 | 0.03 | 0.40 | 0.01 | 0.96 | 1.02 | 0.51~2.05 | -0.03 | 0.28 | 0.01 | 0.93 | 0.98 | 0.57~1.68 |
| 母亲文化程度(以硕士研究生及以上为参照) | 2.57 | 0.47 | 3.78 | 0.29 | ||||||||
| 初中及以下 | 0.02 | 0.46 | 0.002 | 0.79 | 0.90 | 0.41~1.97 | -0.21 | 0.36 | 0.34 | 0.56 | 0.81 | 0.41~1.63 |
| 高中/中专 | 0.04 | 0.45 | 0.01 | 0.90 | 0.95 | 0.44~2.07 | -0.01 | 0.35 | 0.00 | 0.99 | 0.99 | 0.50~1.97 |
| 大专/本科 | -0.20 | 0.44 | 0.20 | 0.50 | 0.77 | 0.36~1.64 | -0.02 | 0.33 | 0.01 | 0.95 | 0.98 | 0.51~1.89 |
| 进食速度(以慢很多为参照) | 14.36 | 0.01 | 81.56 | 0.01 | ||||||||
| 快很多 | 0.52 | 0.15 | 11.75 | 0.01 | 1.73 | 1.31~2.28 | 1.14 | 0.20 | 32.73 | 0.01 | 3.12 | 2.11~4.61 |
| 稍快 | 0.23 | 0.14 | 2.87 | 0.04 | 1.29 | 1.01~1.66 | 0.50 | 0.20 | 6.30 | 0.01 | 1.64 | 1.11~2.41 |
| 就餐地点(以早晚餐在家午餐在学校为参照) | 4.77 | 0.07 | 2.97 | 0.23 | ||||||||
| 在家 | -0.04 | 0.12 | 0.09 | 0.92 | 0.99 | 0.79~1.24 | -0.15 | 0.12 | 1.52 | 0.22 | 0.86 | 0.68~1.09 |
| 在学校 | -0.19 | 0.10 | 3.72 | 0.05 | 0.84 | 0.69~1.00 | -0.17 | 0.10 | 2.89 | 0.09 | 0.84 | 0.69~1.03 |
| 早餐频次(以从不/很少为参照) | 11.65 | 0.01 | 8.68 | 0.03 | ||||||||
| 每天 | -0.24 | 0.18 | 1.69 | 0.05 | 0.72 | 0.52~0.99 | -0.17 | 0.18 | 0.91 | 0.34 | 0.84 | 0.59~1.20 |
| 经常 | -0.16 | 0.18 | 0.72 | 0.17 | 0.79 | 0.57~1.11 | -0.23 | 0.19 | 1.57 | 0.21 | 0.79 | 0.55~1.14 |
| 偶尔 | 0.13 | 0.19 | 0.42 | 0.70 | 1.07 | 0.76~1.52 | 0.11 | 0.20 | 0.29 | 0.59 | 1.11 | 0.76~1.63 |
| 夜间进食(以从不/很少为参照) | 2.41 | 0.35 | 2.36 | 0.50 | ||||||||
| 每天 | -0.02 | 0.20 | 0.01 | 0.67 | 0.92 | 0.63~1.34 | -0.23 | 0.17 | 1.93 | 0.17 | 0.79 | 0.57~1.10 |
| 经常 | 0.11 | 0.12 | 0.94 | 0.35 | 1.11 | 0.89~1.37 | -0.07 | 0.12 | 0.36 | 0.55 | 0.93 | 0.74~1.17 |
| 偶尔 | 0.14 | 0.10 | 1.96 | 0.14 | 1.16 | 0.96~1.40 | -0.02 | 0.11 | 0.02 | 0.88 | 0.99 | 0.80~1.21 |
Table 4 Multivariate Logistic regression analysis of obesity risk factors in boys and girls when neither parent is obese
| 自变量 | 女生 | 男生 | ||||||||||
|---|---|---|---|---|---|---|---|---|---|---|---|---|
| B | SE | Wald χ2值 | P值 | OR值 | 95%CI | B | SE | Wald χ2值 | P值 | OR值 | 95%CI | |
| 年龄(以19岁为参照) | 17.03 | 0.01 | 11.43 | 0.01 | ||||||||
| 16岁 | 0.30 | 0.16 | 3.34 | 0.06 | 1.34 | 0.99~1.81 | 0.44 | 0.19 | 5.44 | 0.02 | 1.55 | 1.07~2.24 |
| 17岁 | 0.21 | 0.13 | 2.79 | 0.18 | 1.18 | 0.93~1.49 | 0.40 | 0.14 | 8.62 | 0.01 | 1.49 | 1.14~1.95 |
| 18岁 | -0.17 | 0.09 | 3.38 | 0.06 | 0.85 | 0.72~1.01 | 0.14 | 0.10 | 2.08 | 0.15 | 1.15 | 0.95~1.39 |
| 是否独生子女(以否为参照) | ||||||||||||
| 是 | -0.30 | 0.10 | 9.32 | 0.04 | 0.83 | 0.70~0.99 | 0.21 | 0.08 | 6.30 | 0.01 | 1.23 | 1.05~1.45 |
| 父亲文化程度(以硕士研究生及以上为参照) | 0.51 | 0.84 | 1.38 | 0.71 | ||||||||
| 初中及以下 | 0.13 | 0.41 | 0.10 | 0.71 | 1.15 | 0.56~2.38 | 0.05 | 0.30 | 0.03 | 0.86 | 1.06 | 0.59~1.89 |
| 高中/中专 | 0.13 | 0.41 | 0.10 | 0.84 | 1.08 | 0.52~2.22 | -0.07 | 0.29 | 0.06 | 0.81 | 0.93 | 0.53~1.65 |
| 大专/本科 | 0.03 | 0.40 | 0.01 | 0.96 | 1.02 | 0.51~2.05 | -0.03 | 0.28 | 0.01 | 0.93 | 0.98 | 0.57~1.68 |
| 母亲文化程度(以硕士研究生及以上为参照) | 2.57 | 0.47 | 3.78 | 0.29 | ||||||||
| 初中及以下 | 0.02 | 0.46 | 0.002 | 0.79 | 0.90 | 0.41~1.97 | -0.21 | 0.36 | 0.34 | 0.56 | 0.81 | 0.41~1.63 |
| 高中/中专 | 0.04 | 0.45 | 0.01 | 0.90 | 0.95 | 0.44~2.07 | -0.01 | 0.35 | 0.00 | 0.99 | 0.99 | 0.50~1.97 |
| 大专/本科 | -0.20 | 0.44 | 0.20 | 0.50 | 0.77 | 0.36~1.64 | -0.02 | 0.33 | 0.01 | 0.95 | 0.98 | 0.51~1.89 |
| 进食速度(以慢很多为参照) | 14.36 | 0.01 | 81.56 | 0.01 | ||||||||
| 快很多 | 0.52 | 0.15 | 11.75 | 0.01 | 1.73 | 1.31~2.28 | 1.14 | 0.20 | 32.73 | 0.01 | 3.12 | 2.11~4.61 |
| 稍快 | 0.23 | 0.14 | 2.87 | 0.04 | 1.29 | 1.01~1.66 | 0.50 | 0.20 | 6.30 | 0.01 | 1.64 | 1.11~2.41 |
| 就餐地点(以早晚餐在家午餐在学校为参照) | 4.77 | 0.07 | 2.97 | 0.23 | ||||||||
| 在家 | -0.04 | 0.12 | 0.09 | 0.92 | 0.99 | 0.79~1.24 | -0.15 | 0.12 | 1.52 | 0.22 | 0.86 | 0.68~1.09 |
| 在学校 | -0.19 | 0.10 | 3.72 | 0.05 | 0.84 | 0.69~1.00 | -0.17 | 0.10 | 2.89 | 0.09 | 0.84 | 0.69~1.03 |
| 早餐频次(以从不/很少为参照) | 11.65 | 0.01 | 8.68 | 0.03 | ||||||||
| 每天 | -0.24 | 0.18 | 1.69 | 0.05 | 0.72 | 0.52~0.99 | -0.17 | 0.18 | 0.91 | 0.34 | 0.84 | 0.59~1.20 |
| 经常 | -0.16 | 0.18 | 0.72 | 0.17 | 0.79 | 0.57~1.11 | -0.23 | 0.19 | 1.57 | 0.21 | 0.79 | 0.55~1.14 |
| 偶尔 | 0.13 | 0.19 | 0.42 | 0.70 | 1.07 | 0.76~1.52 | 0.11 | 0.20 | 0.29 | 0.59 | 1.11 | 0.76~1.63 |
| 夜间进食(以从不/很少为参照) | 2.41 | 0.35 | 2.36 | 0.50 | ||||||||
| 每天 | -0.02 | 0.20 | 0.01 | 0.67 | 0.92 | 0.63~1.34 | -0.23 | 0.17 | 1.93 | 0.17 | 0.79 | 0.57~1.10 |
| 经常 | 0.11 | 0.12 | 0.94 | 0.35 | 1.11 | 0.89~1.37 | -0.07 | 0.12 | 0.36 | 0.55 | 0.93 | 0.74~1.17 |
| 偶尔 | 0.14 | 0.10 | 1.96 | 0.14 | 1.16 | 0.96~1.40 | -0.02 | 0.11 | 0.02 | 0.88 | 0.99 | 0.80~1.21 |
| [1] |
|
| [2] |
|
| [3] |
|
| [4] |
|
| [5] |
|
| [6] |
|
| [7] |
|
| [8] |
|
| [9] |
|
| [10] |
|
| [11] |
|
| [12] |
|
| [13] |
|
| [14] |
|
| [15] |
|
| [16] |
|
| [17] |
|
| [18] |
|
| [19] |
|
| [20] |
|
| [21] |
|
| [22] |
|
| [23] |
|
| [24] |
|
| [25] |
|
| [26] |
|
| [27] |
国家卫生和计划生育委员会. 学龄儿童青少年超重与肥胖筛查: WS/T 586-2018[S]. 北京: 中国标准出版社, 2018.
|
| [28] |
国家卫生和计划生育委员会. 学龄儿童青少年营养不良筛查: WS/T 456-2014[S/OL]. (2014-07-04)[2024-05-01].
|
| [29] |
|
| [30] |
World Health Organization. Noncommunicable diseases: risk factors[EB/OL]. (2022-05-18)[2024-11-18].
|
| [31] |
|
| [32] |
|
| [33] |
|
| [34] |
|
| [35] |
|
| [36] |
|
| [37] |
|
| [38] |
|
| [39] |
|
| [40] |
|
| [41] |
|
| [42] |
|
| [43] |
|
| [44] |
|
| [45] |
|
| [46] |
|
| [47] |
|
| [48] |
|
| [49] |
|
| [50] |
|
| [51] |
|
| [52] |
|
| [53] |
|
| [54] |
|
| [55] |
|
| [56] |
|
| [57] |
|
| [58] |
|
| [59] |
|
| [60] |
|
| [61] |
|
| [62] |
|
| [63] |
|
| [64] |
|
| [65] |
|
| [66] |
|
| [67] |
|
| [68] |
|
| [69] |
|
| [70] |
|
| [71] |
|
| [72] |
|
| [73] |
|
| [1] | FENG Zhanpeng, TAN Sijie, GUO Zhen, CAO Liquan. Study on the Isochronous Substitution Effect of 24-hour Activity Behaviors on Metabolic Syndrome in Adolescents [J]. Chinese General Practice, 2026, 29(03): 325-330. |
| [2] | ZHANG Ying, YANG Ziyu, LIU Lidi, LIAO Xiaoyang, JIA Yu, SHEN Can, YANG Rong. Interpretation of the Consensus Statement Physical by American College of Sports Medicine on Adults Activity and Excess Body Weight and Adiposity [J]. Chinese General Practice, 2026, 29(03): 293-298. |
| [3] | ZHANG Wei, JIA Yuexiao, TANG Hongwei, XUE Xin, LEI Ying, DU Na, WANG Yumeng, YUAN Jiyun, LIU Huan. Study on the Effect of Energy-limited Intermittent Diet Patterns on Weight Management in Overweight and Obese People [J]. Chinese General Practice, 2026, 29(03): 355-360. |
| [4] | XIANG Fengling, WANG Yuankun, WANG Xiaoyan, HE Shengjie, GAN Jinhua. The Prevalence of Hyperuricemia among Children and Adolescents in China: a Meta-analysis [J]. Chinese General Practice, 2025, 28(33): 4206-4213. |
| [5] | XU Chunyan, HE Ling, GUO Canhui, LAI Hurong, LIAO Caifeng, TU Huaijun. Associations of Lipid Levels and the Risk of Sarcopenic Obesity in Middle-aged and Elderly Chinese: a Cohort Study [J]. Chinese General Practice, 2025, 28(33): 4125-4131. |
| [6] | YANG Yingtian, LYU Qianyu, WU Qian, HOU Xinzheng, SONG Jianjun, YE Xuejiao, YANG Chenyan, WANG Shihan. Efficacy of Five-body Balance Exercise on Obesity-related Hypertension Based on the Rehabilitation Model of "Hospital-Gym-Community" : a Randomized Controlled Trial [J]. Chinese General Practice, 2025, 28(32): 4038-4046. |
| [7] | ZHANG Peng, LIU Lidi, ZHANG Ying, YANG Ziyu, LIU Changming, TANG Yijun, LIAO Xiaoyang, JIA Yu. Interpretation and Clinical Implications of the 2024 Italian Guidelines for the Management of Adult Individuals with Overweight and Obesity and Metabolic Comorbidities That are Resistant to Behavioral Treatment [J]. Chinese General Practice, 2025, 28(30): 3747-3752. |
| [8] | DONG Chenxian, SHAO Jianjiang, YAO Teng, ZHAI Jinchan, MA Jiaolong, HU Yunhua, LIU Wen, NIU Qiang, LI Xiaoju, YAN Yizhong. Association between Dietary Inflammation Index and Gestational Anemia in Pregnant Women under Different Dietary Patterns [J]. Chinese General Practice, 2025, 28(29): 3674-3683. |
| [9] | HUANG Lili, JIANG Yan, TANG Min, ZHANG Jialei, HE Jiabei, ZHUANG Jianlin. A Study on the Influence of Health Education Based on the Know-Belief-Act Model and Self-efficacy Theory on the Consumption of Sugary Drinks among Grade 4 Elementary School Students [J]. Chinese General Practice, 2025, 28(28): 3558-3565. |
| [10] | LU Donglei, YANG Fengying, FENG Zhanpeng, CAO Liquan, TAN Sijie. Conccurent Training Can Improve the Physical Health in Diabesity Individuals: a Meta-analysis [J]. Chinese General Practice, 2025, 28(27): 3410-3421. |
| [11] | SHAO Xiaoying, SHAO Jie, ZHU Yan, SHAO Jinling, SHANG Ling, WU Zhenlian, ZHAO Yu, ZHANG Jiacai. Analysis of the Current Status of Iron Deficiency and Factors Affecting Iron Deficiency Anemia among Children Aged 6-36 Months in Guizhou Province [J]. Chinese General Practice, 2025, 28(27): 3368-3374. |
| [12] | QUAN Jialin, ZHU Lin, SU Yu, CHEN Zekai, CHEN Ziqi, ZHANG Zhuofan. Research on the Improvement Effect of Exercise Modes on the Executive Function of Overweight or Obese Children or Adolescents: a Network Meta-analysis [J]. Chinese General Practice, 2025, 28(27): 3422-3431. |
| [13] | ZHANG Yunuo, LI Ruibin, WANG Wei. Correlation Analysis of Serum Nesfatin-1 and Ghrelin Levels with Glycolipid Metabolism and Type 2 Diabetes Mellitus [J]. Chinese General Practice, 2025, 28(26): 3264-3270. |
| [14] | XIANG Xinyue, ZHANG Bingqing, OUYANG Yuqin, TANG Wenjuan, FENG Wenhuan. Impact of Short-term Medical Weight Loss on Atherosclerotic Cardiovascular Disease Risk in Patients with Obesity [J]. Chinese General Practice, 2025, 28(26): 3229-3239. |
| [15] | LI Miaoxiu, ZHU Bowen, KONG Lingjun, FANG Min. Progress in Research on Clinical Assessment Tools for Conservative Treatment of Adolescent Idiopathic Scoliosis [J]. Chinese General Practice, 2025, 28(24): 3079-3088. |
| Viewed | ||||||
|
Full text |
|
|||||
|
Abstract |
|
|||||