尿素呼气试验和粪便抗原检测对消化性溃疡出血患者幽门螺杆菌感染诊断价值的Meta分析
廖桂彬, 龚嘉倩, 赵利娜, 侯江涛, 郑鸿铭, 李逸婷, 吴苑, 陈斌
中国全科医学
2022, 25 ( 03):
354-362.
DOI:10.12114/j.issn.1007-9572.2021.02.086
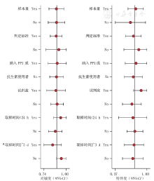
背景在消化性溃疡出血(PUB)患者中,抑酸药物的使用以及出血状态等会对幽门螺杆菌(H.pylori)感染的诊断造成干扰,关于尿素呼气试验(UBT)和粪便抗原检测(SAT)应用于出血患者的诊断准确性报道并不一致。 目的明确UBT和SAT用于PUB患者H.pylori感染的准确性。 方法计算机检索PubMed、EMBase、the Cochrane Library、Web of Science、中国知网、万方数据知识服务平台、中国生物医学文献服务系统(CBM),收集有关PUB患者运用UBT和/或SAT诊断H.pylori感染的诊断准确性试验,检索时间为建库至2021-03-31。提取资料并应用QUADAS-2工具进行文献质量评价;运用双变量混合效应模型和网络Meta分析模型(NMA)合并诊断试验效应量;采用Meta回归和亚组分析的方法探究异质性的来源。 结果共纳入18篇文献,总计25项研究,包含1 105例患者。Meta分析结果显示,UBT、SAT诊断PUB患者H.pylori感染的合并灵敏度为0.90〔95%CI(0.79,0.95)〕、0.89〔95%CI(0.81,0.94)〕,合并特异度为0.91〔95%CI(0.86,0.95)〕、0.75〔95%CI(0.59,0.87)〕,合并诊断比值比为88.89〔95%CI(31.01,254.82)〕、24.35〔95%CI(13.76,43.09)〕,合并阳性似然比为10.07〔95%CI(6.07,16.71)〕、3.60〔95%CI(2.11,6.12)〕,合并阴性似然比为0.11〔95%CI(0.05,0.24)〕、0.15〔95%CI(0.09,0.24)〕,综合受试者工作特征(SROC)曲线下面积为0.93〔95%CI(0.90,0.95)〕、0.91〔95%CI(0.88,0.93)〕。Meta回归提示,取样时间对UBT和SAT的灵敏度异质性存在影响,取样时间和H.pylori感染判定标准对UBT的合并特异度异质性存在影响。Deek漏斗图提示纳入研究间不存在潜在发表偏倚(PUBT=0.53,PSAT=0.64)。 结论UBT具有更好地发现PUB患者H.pylori感染的能力,对疾病诊断的帮助优于SAT。鉴于SAT的假阳性结果,针对PUB患者不推荐单独使用SAT,同时依据取样时间与诊断效能的负相关性,为尽量避免质子泵抑制剂对检测结果的影响,推荐血流动力学稳定条件下尽早完善H.pylori相关检测。

View image in article
图1
文献筛选流程图
正文中引用本图/表的段落
采用SPSS 26.0软件计算灵敏度对数与(1-特异度)对数的Spearman相关系数,探索阈值效应。运用Stata/MP 16.0软件的midas命令拟合双变量混合效应模型(实质为随机效应模型)[5,6]。利用midas命令检验研究间的异质性,利用I2值定量判断异质性大小,I2>50%说明存在高度异质性,则进行Meta回归分析,探讨异质性来源,其中"平均取样时间"(1 d;2~3 d;>3 d;未报道)采用哑变量的形式,若出现了有些哑变量有统计学差异,有些无统计学差异的情况,则在模型中纳入所有的哑变量以保证哑变量代表含义的正确性。计算各文献的合并灵敏度、特异度、阳性似然比、阴性似然比、诊断比值比及其95%可信区间(CI),并估计综合受试者工作特征(SROC)曲线下面积。采用Deek漏斗图法进行发表偏倚的评估。两个诊断试验之间的调整间接比较,以H.pylori感染复合检测作为共同的H.pylori感染判定标准,UBT(假设为a)和判定标准(假设为c)直接比较的合并诊断比值比为DORac,SAT(假设为b)与判定标准直接比较的合并诊断比值比为DORbc,则UBT与SAT之间的相对诊断比值比即为RDORab。将诊断指标看作比值比进行处理,计算UBT和SAT间接比较的效应量诊断比值比的对数lnDORab和标准误SelnDORab,运用ITC软件计算二者的相对比值及其可信区间,若可信区间不包含1,即上下限均大于1或上下限均小于1时,有统计学差异;若包含1时则无统计学差异[7,8]。以P<0.05为差异有统计学意义。
共检索到相关文献1 824篇,剔除重复或与主题无关的文献后剩余168篇,根据纳入与排除标准进一步剔除150项不符合要求的文献,最终纳入18篇文献[9,10,11,12,13,14,15,16,17,18,19,20,21,22,23,24,25,26],包含13篇外文文献[9,10,11,12,13,14,15,16,17,22,23,24,25],5篇中文文献[18,19,20,21,26],其中评价UBT诊断价值的文献有13篇[9,10,11,12,13,14,15,16,17,18,19,20,21](包含14项研究),SAT的有8篇[10,14,21,22,23,24,25,26](包含11项研究),共纳入1 105例患者。最终纳入的文献中有14篇文献[9,10,11,12,14,16,17,18,19,22,23,24,25,26]H.pylori感染的判定是多种测试的组合。文献筛选流程见图1。纳入的所有文献的基本特征见表1、表2。
本研究具有以下优势:在充分纳入中英文相关文献的基础上,采用Meta回归和亚组分析方法评估异质性来源,同时将两项诊断性试验进行了间接比较,应用了两种实现诊断性试验网络Meta分析的方法,即多试验SROC曲线图法和调整间接比较法。本研究的局限性:(1)部分纳入文献的样本量较少,易产生偏倚;(2)纳入的研究中仅LIAO等[16]研究了不同诊断试验串并联使用的准确性,因而无法优选得出不同诊断试验串并联使用的最佳组合,亦无法评价组合间的可行性和成本效益。
注:UBT=尿素呼气试验,SAT=粪便抗原检测,SROC曲线下面积=综合受试者工作特征曲线下面积;a表示纳入文献[ 12]中的1项研究;b表示纳入文献[ 12]中的1项研究;c表示纳入[ 12]中的2项研究;d表示纳入文献[ 22]中的1项研究;e表示纳入文献[ 22]中的1项研究和文献[ 25]中的3项研究 ... Efficacy of fecal detection of Helicobacter pylori with the HpSA technique in patients with upper digestive hemorrhage 10 2001 ... 共检索到相关文献1 824篇,剔除重复或与主题无关的文献后剩余168篇,根据纳入与排除标准进一步剔除150项不符合要求的文献,最终纳入18篇文献[9,10,11,12,13,14,15,16,17,18,19,20,21,22,23,24,25,26],包含13篇外文文献[9,10,11,12,13,14,15,16,17,22,23,24,25],5篇中文文献[18,19,20,21,26],其中评价UBT诊断价值的文献有13篇[9,10,11,12,13,14,15,16,17,18,19,20,21](包含14项研究),SAT的有8篇[10,14,21,22,23,24,25,26](包含11项研究),共纳入1 105例患者.最终纳入的文献中有14篇文献[9,10,11,12,14,16,17,18,19,22,23,24,25,26]H.pylori感染的判定是多种测试的组合.文献筛选流程见图1.纳入的所有文献的基本特征见表1、表2. ...
注:UBT=尿素呼气试验,SAT=粪便抗原检测,SROC曲线下面积=综合受试者工作特征曲线下面积;a表示纳入文献[ 12]中的1项研究;b表示纳入文献[ 12]中的1项研究;c表示纳入[ 12]中的2项研究;d表示纳入文献[ 22]中的1项研究;e表示纳入文献[ 22]中的1项研究和文献[ 25]中的3项研究 ... Comparison of diagnostic methods for Helicobacter pylori infection in patients with upper gastrointestinal bleeding 7 2001 ... 共检索到相关文献1 824篇,剔除重复或与主题无关的文献后剩余168篇,根据纳入与排除标准进一步剔除150项不符合要求的文献,最终纳入18篇文献[9,10,11,12,13,14,15,16,17,18,19,20,21,22,23,24,25,26],包含13篇外文文献[9,10,11,12,13,14,15,16,17,22,23,24,25],5篇中文文献[18,19,20,21,26],其中评价UBT诊断价值的文献有13篇[9,10,11,12,13,14,15,16,17,18,19,20,21](包含14项研究),SAT的有8篇[10,14,21,22,23,24,25,26](包含11项研究),共纳入1 105例患者.最终纳入的文献中有14篇文献[9,10,11,12,14,16,17,18,19,22,23,24,25,26]H.pylori感染的判定是多种测试的组合.文献筛选流程见图1.纳入的所有文献的基本特征见表1、表2. ...
注:UBT=尿素呼气试验,SAT=粪便抗原检测,SROC曲线下面积=综合受试者工作特征曲线下面积;a表示纳入文献[ 12]中的1项研究;b表示纳入文献[ 12]中的1项研究;c表示纳入[ 12]中的2项研究;d表示纳入文献[ 22]中的1项研究;e表示纳入文献[ 22]中的1项研究和文献[ 25]中的3项研究 ... What is the best method to diagnose Helicobacter infection in bleeding peptic ulcers?:a prospective trial 13 2001 ... 共检索到相关文献1 824篇,剔除重复或与主题无关的文献后剩余168篇,根据纳入与排除标准进一步剔除150项不符合要求的文献,最终纳入18篇文献[9,10,11,12,13,14,15,16,17,18,19,20,21,22,23,24,25,26],包含13篇外文文献[9,10,11,12,13,14,15,16,17,22,23,24,25],5篇中文文献[18,19,20,21,26],其中评价UBT诊断价值的文献有13篇[9,10,11,12,13,14,15,16,17,18,19,20,21](包含14项研究),SAT的有8篇[10,14,21,22,23,24,25,26](包含11项研究),共纳入1 105例患者.最终纳入的文献中有14篇文献[9,10,11,12,14,16,17,18,19,22,23,24,25,26]H.pylori感染的判定是多种测试的组合.文献筛选流程见图1.纳入的所有文献的基本特征见表1、表2. ...
注:UBT=尿素呼气试验,SAT=粪便抗原检测,SROC曲线下面积=综合受试者工作特征曲线下面积;a表示纳入文献[ 12]中的1项研究;b表示纳入文献[ 12]中的1项研究;c表示纳入[ 12]中的2项研究;d表示纳入文献[ 22]中的1项研究;e表示纳入文献[ 22]中的1项研究和文献[ 25]中的3项研究 ... Comparison of stool immunoassay with standard methods for detection of Helicobacter pylori infection in patients with upper-gastrointestinal bleeding of peptic origin 9 2003 ... 共检索到相关文献1 824篇,剔除重复或与主题无关的文献后剩余168篇,根据纳入与排除标准进一步剔除150项不符合要求的文献,最终纳入18篇文献[9,10,11,12,13,14,15,16,17,18,19,20,21,22,23,24,25,26],包含13篇外文文献[9,10,11,12,13,14,15,16,17,22,23,24,25],5篇中文文献[18,19,20,21,26],其中评价UBT诊断价值的文献有13篇[9,10,11,12,13,14,15,16,17,18,19,20,21](包含14项研究),SAT的有8篇[10,14,21,22,23,24,25,26](包含11项研究),共纳入1 105例患者.最终纳入的文献中有14篇文献[9,10,11,12,14,16,17,18,19,22,23,24,25,26]H.pylori感染的判定是多种测试的组合.文献筛选流程见图1.纳入的所有文献的基本特征见表1、表2. ...
注:UBT=尿素呼气试验,SAT=粪便抗原检测,SROC曲线下面积=综合受试者工作特征曲线下面积;a表示纳入文献[ 12]中的1项研究;b表示纳入文献[ 12]中的1项研究;c表示纳入[ 12]中的2项研究;d表示纳入文献[ 22]中的1项研究;e表示纳入文献[ 22]中的1项研究和文献[ 25]中的3项研究 ... The usefulness of capsulated 13C-urea breath test in diagnosis of Helicobacter pylori infection in patients with upper gastrointestinal bleeding 6 2003 ... 共检索到相关文献1 824篇,剔除重复或与主题无关的文献后剩余168篇,根据纳入与排除标准进一步剔除150项不符合要求的文献,最终纳入18篇文献[9,10,11,12,13,14,15,16,17,18,19,20,21,22,23,24,25,26],包含13篇外文文献[9,10,11,12,13,14,15,16,17,22,23,24,25],5篇中文文献[18,19,20,21,26],其中评价UBT诊断价值的文献有13篇[9,10,11,12,13,14,15,16,17,18,19,20,21](包含14项研究),SAT的有8篇[10,14,21,22,23,24,25,26](包含11项研究),共纳入1 105例患者.最终纳入的文献中有14篇文献[9,10,11,12,14,16,17,18,19,22,23,24,25,26]H.pylori感染的判定是多种测试的组合.文献筛选流程见图1.纳入的所有文献的基本特征见表1、表2. ...
注:UBT=尿素呼气试验,SAT=粪便抗原检测,SROC曲线下面积=综合受试者工作特征曲线下面积;a表示纳入文献[ 12]中的1项研究;b表示纳入文献[ 12]中的1项研究;c表示纳入[ 12]中的2项研究;d表示纳入文献[ 22]中的1项研究;e表示纳入文献[ 22]中的1项研究和文献[ 25]中的3项研究 ... Accuracy of three diagnostic tests used alone and in combination for detecting Helicobacter pylori infection in patients with bleeding gastric ulcers 8 2003 ... 共检索到相关文献1 824篇,剔除重复或与主题无关的文献后剩余168篇,根据纳入与排除标准进一步剔除150项不符合要求的文献,最终纳入18篇文献[9,10,11,12,13,14,15,16,17,18,19,20,21,22,23,24,25,26],包含13篇外文文献[9,10,11,12,13,14,15,16,17,22,23,24,25],5篇中文文献[18,19,20,21,26],其中评价UBT诊断价值的文献有13篇[9,10,11,12,13,14,15,16,17,18,19,20,21](包含14项研究),SAT的有8篇[10,14,21,22,23,24,25,26](包含11项研究),共纳入1 105例患者.最终纳入的文献中有14篇文献[9,10,11,12,14,16,17,18,19,22,23,24,25,26]H.pylori感染的判定是多种测试的组合.文献筛选流程见图1.纳入的所有文献的基本特征见表1、表2. ...
注:UBT=尿素呼气试验,SAT=粪便抗原检测,SROC曲线下面积=综合受试者工作特征曲线下面积;a表示纳入文献[ 12]中的1项研究;b表示纳入文献[ 12]中的1项研究;c表示纳入[ 12]中的2项研究;d表示纳入文献[ 22]中的1项研究;e表示纳入文献[ 22]中的1项研究和文献[ 25]中的3项研究 ... 上消化道出血对14C-尿素呼气试验准确性影响 7 1997 ... 共检索到相关文献1 824篇,剔除重复或与主题无关的文献后剩余168篇,根据纳入与排除标准进一步剔除150项不符合要求的文献,最终纳入18篇文献[9,10,11,12,13,14,15,16,17,18,19,20,21,22,23,24,25,26],包含13篇外文文献[9,10,11,12,13,14,15,16,17,22,23,24,25],5篇中文文献[18,19,20,21,26],其中评价UBT诊断价值的文献有13篇[9,10,11,12,13,14,15,16,17,18,19,20,21](包含14项研究),SAT的有8篇[10,14,21,22,23,24,25,26](包含11项研究),共纳入1 105例患者.最终纳入的文献中有14篇文献[9,10,11,12,14,16,17,18,19,22,23,24,25,26]H.pylori感染的判定是多种测试的组合.文献筛选流程见图1.纳入的所有文献的基本特征见表1、表2. ...
注:UBT=尿素呼气试验,SAT=粪便抗原检测,SROC曲线下面积=综合受试者工作特征曲线下面积;a表示纳入文献[ 12]中的1项研究;b表示纳入文献[ 12]中的1项研究;c表示纳入[ 12]中的2项研究;d表示纳入文献[ 22]中的1项研究;e表示纳入文献[ 22]中的1项研究和文献[ 25]中的3项研究 ... 14C-尿素呼气试验在消化性溃疡并出血病人假阴性原因分析 6 2004 ... 共检索到相关文献1 824篇,剔除重复或与主题无关的文献后剩余168篇,根据纳入与排除标准进一步剔除150项不符合要求的文献,最终纳入18篇文献[9,10,11,12,13,14,15,16,17,18,19,20,21,22,23,24,25,26],包含13篇外文文献[9,10,11,12,13,14,15,16,17,22,23,24,25],5篇中文文献[18,19,20,21,26],其中评价UBT诊断价值的文献有13篇[9,10,11,12,13,14,15,16,17,18,19,20,21](包含14项研究),SAT的有8篇[10,14,21,22,23,24,25,26](包含11项研究),共纳入1 105例患者.最终纳入的文献中有14篇文献[9,10,11,12,14,16,17,18,19,22,23,24,25,26]H.pylori感染的判定是多种测试的组合.文献筛选流程见图1.纳入的所有文献的基本特征见表1、表2. ...
注:UBT=尿素呼气试验,SAT=粪便抗原检测,SROC曲线下面积=综合受试者工作特征曲线下面积;a表示纳入文献[ 12]中的1项研究;b表示纳入文献[ 12]中的1项研究;c表示纳入[ 12]中的2项研究;d表示纳入文献[ 22]中的1项研究;e表示纳入文献[ 22]中的1项研究和文献[ 25]中的3项研究 ... 14C-尿素呼气试验在不同胃黏膜病变中的诊断价值及影响因素分析 5 2005 ... 共检索到相关文献1 824篇,剔除重复或与主题无关的文献后剩余168篇,根据纳入与排除标准进一步剔除150项不符合要求的文献,最终纳入18篇文献[9,10,11,12,13,14,15,16,17,18,19,20,21,22,23,24,25,26],包含13篇外文文献[9,10,11,12,13,14,15,16,17,22,23,24,25],5篇中文文献[18,19,20,21,26],其中评价UBT诊断价值的文献有13篇[9,10,11,12,13,14,15,16,17,18,19,20,21](包含14项研究),SAT的有8篇[10,14,21,22,23,24,25,26](包含11项研究),共纳入1 105例患者.最终纳入的文献中有14篇文献[9,10,11,12,14,16,17,18,19,22,23,24,25,26]H.pylori感染的判定是多种测试的组合.文献筛选流程见图1.纳入的所有文献的基本特征见表1、表2. ...
注:UBT=尿素呼气试验,SAT=粪便抗原检测,SROC曲线下面积=综合受试者工作特征曲线下面积;a表示纳入文献[ 12]中的1项研究;b表示纳入文献[ 12]中的1项研究;c表示纳入[ 12]中的2项研究;d表示纳入文献[ 22]中的1项研究;e表示纳入文献[ 22]中的1项研究和文献[ 25]中的3项研究 ... 粪便幽门螺杆菌检测在上消化道溃疡出血患者中的价值 8 2019 ... 共检索到相关文献1 824篇,剔除重复或与主题无关的文献后剩余168篇,根据纳入与排除标准进一步剔除150项不符合要求的文献,最终纳入18篇文献[9,10,11,12,13,14,15,16,17,18,19,20,21,22,23,24,25,26],包含13篇外文文献[9,10,11,12,13,14,15,16,17,22,23,24,25],5篇中文文献[18,19,20,21,26],其中评价UBT诊断价值的文献有13篇[9,10,11,12,13,14,15,16,17,18,19,20,21](包含14项研究),SAT的有8篇[10,14,21,22,23,24,25,26](包含11项研究),共纳入1 105例患者.最终纳入的文献中有14篇文献[9,10,11,12,14,16,17,18,19,22,23,24,25,26]H.pylori感染的判定是多种测试的组合.文献筛选流程见图1.纳入的所有文献的基本特征见表1、表2. ...
注:UBT=尿素呼气试验,SAT=粪便抗原检测,SROC曲线下面积=综合受试者工作特征曲线下面积;a表示纳入文献[ 12]中的1项研究;b表示纳入文献[ 12]中的1项研究;c表示纳入[ 12]中的2项研究;d表示纳入文献[ 22]中的1项研究;e表示纳入文献[ 22]中的1项研究和文献[ 25]中的3项研究 ... Antigen stool test for assessment of Helicobacter pylori infection in patients with upper gastrointestinal bleeding 11 2003 ... 共检索到相关文献1 824篇,剔除重复或与主题无关的文献后剩余168篇,根据纳入与排除标准进一步剔除150项不符合要求的文献,最终纳入18篇文献[9,10,11,12,13,14,15,16,17,18,19,20,21,22,23,24,25,26],包含13篇外文文献[9,10,11,12,13,14,15,16,17,22,23,24,25],5篇中文文献[18,19,20,21,26],其中评价UBT诊断价值的文献有13篇[9,10,11,12,13,14,15,16,17,18,19,20,21](包含14项研究),SAT的有8篇[10,14,21,22,23,24,25,26](包含11项研究),共纳入1 105例患者.最终纳入的文献中有14篇文献[9,10,11,12,14,16,17,18,19,22,23,24,25,26]H.pylori感染的判定是多种测试的组合.文献筛选流程见图1.纳入的所有文献的基本特征见表1、表2. ...
本文的其它图/表
|