中国全科医学 ›› 2026, Vol. 29 ›› Issue (06): 699-709.DOI: 10.12114/j.issn.1007-9572.2025.0093
张祉薇, 贺盼盼, 杨茜文, 金雪怡, 毛雪倩, 胡颖, 井立鹏*(
)
收稿日期:2025-04-22
修回日期:2025-07-02
出版日期:2026-02-20
发布日期:2026-01-05
通讯作者:
井立鹏
作者贡献:
张祉薇负责部分数据收集和整理、统计学分析、文章的构思和撰写;贺盼盼和杨茜文负责数据的收集与整理;金雪怡、毛雪倩和胡颖参与数据收集;井立鹏负责研究项目的指导,文章的质量控制与审查,监督管理,并对文章负责。
基金资助:
ZHANG Zhiwei, HE Panpan, YANG Qianwen, JIN Xueyi, MAO Xueqian, HU Ying, JING Lipeng*(
)
Received:2025-04-22
Revised:2025-07-02
Published:2026-02-20
Online:2026-01-05
Contact:
JING Lipeng
摘要: 背景 衰弱是一种与年龄增长相关的老年综合征,我国老年人衰弱患病率较高且呈逐年上升趋势。肥胖与多种疾病的发生、发展均密切相关,但其与衰弱之间的关联仍存在争议,这可能是由于传统肥胖指标在识别脂肪分布上存在一定的局限性。因此,探究多种肥胖指标与衰弱的关联,对进一步探索衰弱发病机制和制订预防干预措施具有重要意义。 目的 本研究旨在探讨老年人多种肥胖指标与衰弱的相关性,为老年人衰弱的早期防控提供科学依据。 方法 本研究于2023年3—5月在甘肃省靖远县的6个农村共调查了1 429名60岁及以上的老年人,经进一步排除,最终纳入1 153人。使用FRAIL量表评估老年人的衰弱状况。根据中国肥胖标准对腰围和BMI进行分组,将腰臀比(WHR)、腰高比(WHtR)、躯体圆度指数(BRI)和中国内脏脂肪指数(CVAI)按四分位数分组,并使用多因素Logistic回归、限制性立方样条(RCS)和受试者工作特征(ROC)曲线探讨不同肥胖指标与衰弱的相关性。 结果 本研究共纳入1 153名60岁及以上的老年人,其中男474名(41.11%)、女679名(58.89%),平均年龄(70.86±4.76)岁。根据FRAIL量表评分,衰弱老年人226名,非衰弱老年人927名,衰弱患病率为19.60%。调整相关变量后多因素二元Logistic回归分析结果显示,中心性肥胖、中重度肥胖(以BMI正常为参照)、Q3和Q4水平的WHR以及Q4水平的WHtR、BRI和CVAI(均以Q1水平为参照)是老年人衰弱的危险因素(P<0.05);且随着腰围、BMI、WHR、WHtR、BRI和CVAI水平的增加,老年人衰弱患病风险呈上升趋势(P趋势<0.05)。RCS曲线结果显示,老年人腰围、BMI、WHtR、BRI和CVAI与衰弱患病风险呈正相关(P线性<0.05)。ROC曲线分析结果显示,腰围、BMI、WHR、WHtR、BRI、CVAI预测衰弱风险的曲线下面积(AUC)分别为0.557(95%CI=0.515~0.598)、0.570(95%CI=0.528~0.612)、0.558(95%CI=0.515~0.600)、0.610(95%CI=0.568~0.652)、0.610(95%CI=0.568~0.652)、0.586(95%CI=0.546~0.626),对衰弱风险均有预测价值(P<0.05)。其中,WHtR、BRI、CVAI预测衰弱风险的AUC大于腰围(Z=-5.443,P<0.001;Z=-5.443,P<0.001;Z=-2.595,P=0.009);WHtR、BRI预测衰弱风险的AUC大于BMI(Z=-2.885,P=0.004;Z=-2.884,P=0.004)。 结论 农村60岁及以上的老年人肥胖指标腰围、BMI、WHR、WHtR、BRI、CVAI与衰弱风险呈正相关,其中WHtR和BRI对老年人衰弱的预测能力较好。
中图分类号:
| 变量 | 非衰弱(n=927) | 衰弱(n=226) | χ2(t)值 | P值 |
|---|---|---|---|---|
| 年龄( | 70.60±4.65 | 71.96±5.03 | -3.876a | <0.001 |
| 年龄分组[名(%)] | 8.294 | 0.004 | ||
| <70岁 | 464(50.05) | 89(39.38) | ||
| ≥70岁 | 463(49.95) | 137(60.62) | ||
| 性别[名(%)] | 43.829 | <0.001 | ||
| 男 | 425(45.85) | 49(21.68) | ||
| 女 | 502(54.15) | 177(78.32) | ||
| 婚姻状况[名(%)] | 19.713 | <0.001 | ||
| 已婚或有伴侣 | 726(78.32) | 145(64.16) | ||
| 分居、离婚或丧偶 | 201(21.68) | 81(35.84) | ||
| 民族[名(%)] | 3.320 | 0.068 | ||
| 汉族 | 875(94.39) | 220(97.35) | ||
| 少数民族 | 52(5.61) | 6(2.65) | ||
| 受教育程度[名(%)] | 36.230 | <0.001 | ||
| 未受正式教育 | 409(44.12) | 149(65.93) | ||
| 小学 | 255(27.51) | 45(19.91) | ||
| 初中及以上 | 263(28.37) | 32(14.16) | ||
| 家庭经济状况[名(%)] | 22.907 | <0.001 | ||
| 好 | 372(40.13) | 52(23.01) | ||
| 差 | 555(59.87) | 174(76.99) | ||
| 每日步数[名(%)] | 83.896 | <0.001 | ||
| ≤2 000步 | 156(16.83) | 93(41.15) | ||
| 2 001~4 000步 | 246(26.54) | 70(30.97) | ||
| 4 001~7 000步 | 285(30.74) | 44(19.47) | ||
| >7 000步 | 240(25.89) | 19(8.41) | ||
| 吸烟[名(%)] | 19.783 | <0.001 | ||
| 从不吸烟 | 609(65.70) | 183(80.97) | ||
| 曾经吸烟已戒烟 | 140(15.10) | 20(8.85) | ||
| 吸烟 | 178(19.20) | 23(10.17) | ||
| 饮酒[名(%)] | 4.745 | 0.088 | ||
| 从不饮酒 | 782(84.36) | 203(89.82) | ||
| 曾经饮酒已戒酒 | 42(4.53) | 5(2.21) | ||
| 饮酒 | 103(11.11) | 18(7.97) | ||
| 喝茶[名(%)] | 14.666 | <0.001 | ||
| 否 | 382(41.21) | 125(55.31) | ||
| 是 | 545(58.79) | 101(44.69) | ||
| 健康自评[名(%)] | 135.446 | <0.001 | ||
| 好 | 640(69.04) | 81(35.84) | ||
| 一般 | 170(18.34) | 42(18.58) | ||
| 差 | 117(12.62) | 103(45.58) | ||
| 共病[名(%)] | 41.885 | <0.001 | ||
| 0~1种 | 172(18.55) | 3(1.33) | ||
| ≥2种 | 755(81.45) | 223(98.67) | ||
| 多重用药[名(%)] | 18.686 | <0.001 | ||
| <5种 | 891(96.12) | 201(88.94) | ||
| ≥5种 | 36(3.88) | 25(11.06) | ||
| PSQI( | 6.48±4.05 | 10.12±4.00 | -12.150a | <0.001 |
| PSQI分组[名(%)] | 101.830 | <0.001 | ||
| ≤7 | 605(65.26) | 64(28.32) | ||
| >7 | 322(34.74) | 162(71.68) | ||
| 跌倒[名(%)] | 40.628 | <0.001 | ||
| 否 | 812(87.59) | 159(70.35) | ||
| 是 | 115(12.41) | 67(29.65) | ||
| 握力( | 27.18±8.09 | 21.11±6.50 | 11.964a | <0.001 |
| SPPB评分( | 10.36±2.00 | 8.19±3.01 | 10.282a | <0.001 |
| 身高( | 159.74±8.49 | 156.27±7.66 | 5.963a | <0.001 |
| 体质量( | 64.28±10.49 | 63.61±10.29 | 0.869a | 0.385 |
| 大腿围( | 48.91±5.29 | 48.57±4.87 | 0.894a | 0.371 |
| 小腿围( | 34.26±3.33 | 34.19±3.56 | 0.281a | 0.778 |
| 腰围( | 86.95±9.71 | 88.89±10.14 | -2.666a | 0.010 |
| 臀围( | 96.80±7.02 | 97.71±7.03 | -1.743a | 0.082 |
| 中心性肥胖[名(%)] | 13.857 | <0.001 | ||
| 否 | 460(49.62) | 81(35.84) | ||
| 是 | 467(50.38) | 145(64.16) | ||
| BMI( | 25.15±3.37 | 26.06±3.86 | -3.528a | <0.001 |
| BMI分组[名(%)] | 12.450 | 0.014 | ||
| 低体质量 | 13(1.40) | 3(1.33) | ||
| 正常 | 342(36.89) | 65(28.76) | ||
| 超重 | 385(41.53) | 94(41.59) | ||
| 轻度肥胖 | 165(17.80) | 51(22.57) | ||
| 中重度肥胖 | 22(2.37) | 13(5.75) | ||
| WHR( | 0.90±0.07 | 0.91±0.07 | -2.288a | 0.022 |
| WHR分组[名(%)] | 3.391 | 0.025 | ||
| Q1 | 241(26.00) | 45(19.91) | ||
| Q2 | 245(26.43) | 49(21.68) | ||
| Q3 | 222(23.95) | 61(27.99) | ||
| Q4 | 219(23.62) | 71(31.42) | ||
| WHtR( | 0.55±0.06 | 0.57±0.07 | -5.147a | <0.001 |
| WHtR分组[名(%)] | 25.450 | <0.001 | ||
| Q1 | 251(27.08) | 38(16.81) | ||
| Q2 | 245(26.43) | 43(19.03) | ||
| Q3 | 223(24.06) | 65(28.76) | ||
| Q4 | 208(22.44) | 80(35.40) | ||
| BRI( | 4.32±1.31 | 4.86±1.48 | -4.946a | <0.001 |
| BRI分组[名(%)] | 25.969 | <0.001 | ||
| Q1 | 251(27.08) | 36(15.93) | ||
| Q2 | 245(26.43) | 45(19.91) | ||
| Q3 | 223(24.06) | 65(28.76) | ||
| Q4 | 208(22.44) | 80(35.40) | ||
| CVAI( | 119.87±36.09 | 130.43±34.12 | -3.988a | <0.001 |
| CVAI分组[名(%)] | 15.519 | 0.001 | ||
| Q1 | 251(27.08) | 37(16.37) | ||
| Q2 | 235(25.35) | 53(23.45) | ||
| Q3 | 226(24.38) | 63(27.88) | ||
| Q4 | 215(23.19) | 73(32.30) | ||
表1 老年人衰弱状况与一般人口学特征单因素分析
Table 1 Univariate analysis of the association between frailty status in older adults and general demographic characteristics.
| 变量 | 非衰弱(n=927) | 衰弱(n=226) | χ2(t)值 | P值 |
|---|---|---|---|---|
| 年龄( | 70.60±4.65 | 71.96±5.03 | -3.876a | <0.001 |
| 年龄分组[名(%)] | 8.294 | 0.004 | ||
| <70岁 | 464(50.05) | 89(39.38) | ||
| ≥70岁 | 463(49.95) | 137(60.62) | ||
| 性别[名(%)] | 43.829 | <0.001 | ||
| 男 | 425(45.85) | 49(21.68) | ||
| 女 | 502(54.15) | 177(78.32) | ||
| 婚姻状况[名(%)] | 19.713 | <0.001 | ||
| 已婚或有伴侣 | 726(78.32) | 145(64.16) | ||
| 分居、离婚或丧偶 | 201(21.68) | 81(35.84) | ||
| 民族[名(%)] | 3.320 | 0.068 | ||
| 汉族 | 875(94.39) | 220(97.35) | ||
| 少数民族 | 52(5.61) | 6(2.65) | ||
| 受教育程度[名(%)] | 36.230 | <0.001 | ||
| 未受正式教育 | 409(44.12) | 149(65.93) | ||
| 小学 | 255(27.51) | 45(19.91) | ||
| 初中及以上 | 263(28.37) | 32(14.16) | ||
| 家庭经济状况[名(%)] | 22.907 | <0.001 | ||
| 好 | 372(40.13) | 52(23.01) | ||
| 差 | 555(59.87) | 174(76.99) | ||
| 每日步数[名(%)] | 83.896 | <0.001 | ||
| ≤2 000步 | 156(16.83) | 93(41.15) | ||
| 2 001~4 000步 | 246(26.54) | 70(30.97) | ||
| 4 001~7 000步 | 285(30.74) | 44(19.47) | ||
| >7 000步 | 240(25.89) | 19(8.41) | ||
| 吸烟[名(%)] | 19.783 | <0.001 | ||
| 从不吸烟 | 609(65.70) | 183(80.97) | ||
| 曾经吸烟已戒烟 | 140(15.10) | 20(8.85) | ||
| 吸烟 | 178(19.20) | 23(10.17) | ||
| 饮酒[名(%)] | 4.745 | 0.088 | ||
| 从不饮酒 | 782(84.36) | 203(89.82) | ||
| 曾经饮酒已戒酒 | 42(4.53) | 5(2.21) | ||
| 饮酒 | 103(11.11) | 18(7.97) | ||
| 喝茶[名(%)] | 14.666 | <0.001 | ||
| 否 | 382(41.21) | 125(55.31) | ||
| 是 | 545(58.79) | 101(44.69) | ||
| 健康自评[名(%)] | 135.446 | <0.001 | ||
| 好 | 640(69.04) | 81(35.84) | ||
| 一般 | 170(18.34) | 42(18.58) | ||
| 差 | 117(12.62) | 103(45.58) | ||
| 共病[名(%)] | 41.885 | <0.001 | ||
| 0~1种 | 172(18.55) | 3(1.33) | ||
| ≥2种 | 755(81.45) | 223(98.67) | ||
| 多重用药[名(%)] | 18.686 | <0.001 | ||
| <5种 | 891(96.12) | 201(88.94) | ||
| ≥5种 | 36(3.88) | 25(11.06) | ||
| PSQI( | 6.48±4.05 | 10.12±4.00 | -12.150a | <0.001 |
| PSQI分组[名(%)] | 101.830 | <0.001 | ||
| ≤7 | 605(65.26) | 64(28.32) | ||
| >7 | 322(34.74) | 162(71.68) | ||
| 跌倒[名(%)] | 40.628 | <0.001 | ||
| 否 | 812(87.59) | 159(70.35) | ||
| 是 | 115(12.41) | 67(29.65) | ||
| 握力( | 27.18±8.09 | 21.11±6.50 | 11.964a | <0.001 |
| SPPB评分( | 10.36±2.00 | 8.19±3.01 | 10.282a | <0.001 |
| 身高( | 159.74±8.49 | 156.27±7.66 | 5.963a | <0.001 |
| 体质量( | 64.28±10.49 | 63.61±10.29 | 0.869a | 0.385 |
| 大腿围( | 48.91±5.29 | 48.57±4.87 | 0.894a | 0.371 |
| 小腿围( | 34.26±3.33 | 34.19±3.56 | 0.281a | 0.778 |
| 腰围( | 86.95±9.71 | 88.89±10.14 | -2.666a | 0.010 |
| 臀围( | 96.80±7.02 | 97.71±7.03 | -1.743a | 0.082 |
| 中心性肥胖[名(%)] | 13.857 | <0.001 | ||
| 否 | 460(49.62) | 81(35.84) | ||
| 是 | 467(50.38) | 145(64.16) | ||
| BMI( | 25.15±3.37 | 26.06±3.86 | -3.528a | <0.001 |
| BMI分组[名(%)] | 12.450 | 0.014 | ||
| 低体质量 | 13(1.40) | 3(1.33) | ||
| 正常 | 342(36.89) | 65(28.76) | ||
| 超重 | 385(41.53) | 94(41.59) | ||
| 轻度肥胖 | 165(17.80) | 51(22.57) | ||
| 中重度肥胖 | 22(2.37) | 13(5.75) | ||
| WHR( | 0.90±0.07 | 0.91±0.07 | -2.288a | 0.022 |
| WHR分组[名(%)] | 3.391 | 0.025 | ||
| Q1 | 241(26.00) | 45(19.91) | ||
| Q2 | 245(26.43) | 49(21.68) | ||
| Q3 | 222(23.95) | 61(27.99) | ||
| Q4 | 219(23.62) | 71(31.42) | ||
| WHtR( | 0.55±0.06 | 0.57±0.07 | -5.147a | <0.001 |
| WHtR分组[名(%)] | 25.450 | <0.001 | ||
| Q1 | 251(27.08) | 38(16.81) | ||
| Q2 | 245(26.43) | 43(19.03) | ||
| Q3 | 223(24.06) | 65(28.76) | ||
| Q4 | 208(22.44) | 80(35.40) | ||
| BRI( | 4.32±1.31 | 4.86±1.48 | -4.946a | <0.001 |
| BRI分组[名(%)] | 25.969 | <0.001 | ||
| Q1 | 251(27.08) | 36(15.93) | ||
| Q2 | 245(26.43) | 45(19.91) | ||
| Q3 | 223(24.06) | 65(28.76) | ||
| Q4 | 208(22.44) | 80(35.40) | ||
| CVAI( | 119.87±36.09 | 130.43±34.12 | -3.988a | <0.001 |
| CVAI分组[名(%)] | 15.519 | 0.001 | ||
| Q1 | 251(27.08) | 37(16.37) | ||
| Q2 | 235(25.35) | 53(23.45) | ||
| Q3 | 226(24.38) | 63(27.88) | ||
| Q4 | 215(23.19) | 73(32.30) | ||
| 变量 | 赋值 |
|---|---|
| 衰弱 | 非衰弱=0,衰弱=1 |
| 性别 | 男=1,女=2 |
| 民族 | 汉族=0,少数民族=1 |
| 婚姻状况 | 已婚或有伴侣=0,分居、离婚或丧偶=1 |
| 受教育程度 | 未受正式教育=0,小学=1,初中及以上=2 |
| 家庭经济状况 | 好=0,差=1 |
| 吸烟 | 从不吸烟=0,曾经吸烟已戒烟=1,吸烟=2 |
| 饮酒 | 从不饮酒=0,曾经饮酒已戒酒=1,饮酒=2 |
| 喝茶 | 否=0,是=1 |
| 睡眠质量 | PSQI≤7=0,PSQI>7=1 |
| 健康自评 | 好=0,一般=1,差=2 |
| 共病 | 0~1种=0,≥2种=1 |
| 多重用药 | <5种=0,≥5种=1 |
| 每日步数 | ≤2 000步=1,2 001~4 000步=2,4 001~7 000步=3,>7 000步=4 |
| 跌倒 | 否=0,是=1 |
| 中心性肥胖 | 否=0,是=1 |
| BMI分组 | 正常=1,低体质量=2,超重=3,轻度肥胖=4,中重度肥胖=5 |
| WHR分组 | Q1=1,Q2=2,Q3=3,Q4=4 |
| WHtR分组 | Q1=1,Q2=2,Q3=3,Q4=4 |
| BRI分组 | Q1=1,Q2=2,Q3=3,Q4=4 |
| CVAI分组 | Q1=1,Q2=2,Q3=3,Q4=4 |
表2 变量赋值表
Table 2 Variable assignment
| 变量 | 赋值 |
|---|---|
| 衰弱 | 非衰弱=0,衰弱=1 |
| 性别 | 男=1,女=2 |
| 民族 | 汉族=0,少数民族=1 |
| 婚姻状况 | 已婚或有伴侣=0,分居、离婚或丧偶=1 |
| 受教育程度 | 未受正式教育=0,小学=1,初中及以上=2 |
| 家庭经济状况 | 好=0,差=1 |
| 吸烟 | 从不吸烟=0,曾经吸烟已戒烟=1,吸烟=2 |
| 饮酒 | 从不饮酒=0,曾经饮酒已戒酒=1,饮酒=2 |
| 喝茶 | 否=0,是=1 |
| 睡眠质量 | PSQI≤7=0,PSQI>7=1 |
| 健康自评 | 好=0,一般=1,差=2 |
| 共病 | 0~1种=0,≥2种=1 |
| 多重用药 | <5种=0,≥5种=1 |
| 每日步数 | ≤2 000步=1,2 001~4 000步=2,4 001~7 000步=3,>7 000步=4 |
| 跌倒 | 否=0,是=1 |
| 中心性肥胖 | 否=0,是=1 |
| BMI分组 | 正常=1,低体质量=2,超重=3,轻度肥胖=4,中重度肥胖=5 |
| WHR分组 | Q1=1,Q2=2,Q3=3,Q4=4 |
| WHtR分组 | Q1=1,Q2=2,Q3=3,Q4=4 |
| BRI分组 | Q1=1,Q2=2,Q3=3,Q4=4 |
| CVAI分组 | Q1=1,Q2=2,Q3=3,Q4=4 |
| 变量 | 模型1 | 模型2 | 模型3 | |||
|---|---|---|---|---|---|---|
| OR(95%CI) | P值 | OR(95%CI) | P值 | OR(95%CI) | P值 | |
| 中心性肥胖 | ||||||
| 否 | 1.000 | 1.000 | 1.000 | |||
| 是 | 1.763(1.305~2.382) | <0.001 | 1.602(1.171~2.191) | 0.003 | 1.673(1.138~2.460) | 0.009 |
| P趋势值 | <0.001 | 0.003 | 0.004 | |||
| BMI分组 | ||||||
| 正常 | 1.000 | 1.000 | 1.000 | |||
| 低体质量 | 1.214(0.337~4.381) | 0.767 | 1.221(0.317~4.695) | 0.772 | 0.517(0.105~2.537) | 0.416 |
| 超重 | 1.285(0.907~1.820) | 0.158 | 1.287(0.902~1.837) | 0.164 | 1.163(0.753~1.797) | 0.495 |
| 轻度肥胖 | 1.626(1.078~2.453) | 0.020 | 1.507(0.990~2.296) | 0.056 | 1.625(0.973~2.715) | 0.063 |
| 中重度肥胖 | 3.109(1.491~6.485) | 0.002 | 2.750(1.283~5.895) | 0.009 | 2.853(1.155~7.047) | 0.023 |
| P趋势值 | 0.001 | 0.005 | 0.010 | |||
| WHR分组 | ||||||
| Q1 | 1.000 | 1.000 | 1.000 | |||
| Q2 | 1.071(0.688~1.666) | 0.761 | 1.067(0.678~1.677) | 0.780 | 1.167(0.674~2.020) | 0.582 |
| Q3 | 1.472(0.961~2.253) | 0.176 | 1.643(1.059~2.550) | 0.027 | 1.805(1.061~3.072) | 0.029 |
| Q4 | 1.736(1.146~2.632) | 0.009 | 1.949(1.266~3.000) | 0.002 | 1.968(1.162~3.333) | 0.012 |
| P趋势值 | <0.001 | <0.001 | 0.001 | |||
| WHtR分组 | ||||||
| Q1 | 1.000 | 1.000 | 1.000 | |||
| Q2 | 1.159(0.724~1.856) | 0.538 | 1.002(0.618~1.626) | 0.993 | 1.000(0.558~1.794) | 0.999 |
| Q3 | 1.925(1.241~2.986) | 0.003 | 1.657(1.051~2.613) | 0.030 | 1.658(0.960~2.865) | 0.070 |
| Q4 | 2.540(1.657~3.896) | <0.001 | 1.817(1.161~2.844) | 0.009 | 1.856(1.079~3.194) | 0.025 |
| P趋势值 | <0.001 | <0.001 | 0.003 | |||
| BRI分组 | ||||||
| Q1 | 1.000 | 1.000 | 1.000 | |||
| Q2 | 1.281(0.799~2.054) | 0.305 | 1.106(0.680~1.796) | 0.685 | 1.052(0.586~1.889) | 0.865 |
| Q3 | 2.032(1.302~3.172) | 0.002 | 1.749(1.102~2.775) | 0.018 | 1.704(0.982~2.956) | 0.058 |
| Q4 | 2.682(1.737~4.140) | <0.001 | 1.919(1.218~3.022) | 0.005 | 1.908(1.104~3.299) | 0.021 |
| P趋势值 | <0.001 | <0.001 | 0.002 | |||
| CVAI分组 | ||||||
| Q1 | 1.000 | 1.000 | 1.000 | |||
| Q2 | 1.530(0.970~2.414) | 0.068 | 1.140(0.710~1.829) | 0.588 | 1.218(0.687~2.160) | 0.500 |
| Q3 | 1.891(1.213~2.948) | 0.005 | 1.308(0.822~2.081) | 0.257 | 1.320(0.756~2.303) | 0.329 |
| Q4 | 2.303(1.490~3.560) | <0.001 | 1.588(1.005~2.509) | 0.047 | 1.969(1.124~3.451) | 0.018 |
| P趋势值 | <0.001 | <0.001 | 0.009 | |||
表3 老年人肥胖指标与衰弱相关性的多因素Logistic回归分析
Table 3 Multivariate Logistic regression analysis of the association between obesity indicators and frailty in older adults
| 变量 | 模型1 | 模型2 | 模型3 | |||
|---|---|---|---|---|---|---|
| OR(95%CI) | P值 | OR(95%CI) | P值 | OR(95%CI) | P值 | |
| 中心性肥胖 | ||||||
| 否 | 1.000 | 1.000 | 1.000 | |||
| 是 | 1.763(1.305~2.382) | <0.001 | 1.602(1.171~2.191) | 0.003 | 1.673(1.138~2.460) | 0.009 |
| P趋势值 | <0.001 | 0.003 | 0.004 | |||
| BMI分组 | ||||||
| 正常 | 1.000 | 1.000 | 1.000 | |||
| 低体质量 | 1.214(0.337~4.381) | 0.767 | 1.221(0.317~4.695) | 0.772 | 0.517(0.105~2.537) | 0.416 |
| 超重 | 1.285(0.907~1.820) | 0.158 | 1.287(0.902~1.837) | 0.164 | 1.163(0.753~1.797) | 0.495 |
| 轻度肥胖 | 1.626(1.078~2.453) | 0.020 | 1.507(0.990~2.296) | 0.056 | 1.625(0.973~2.715) | 0.063 |
| 中重度肥胖 | 3.109(1.491~6.485) | 0.002 | 2.750(1.283~5.895) | 0.009 | 2.853(1.155~7.047) | 0.023 |
| P趋势值 | 0.001 | 0.005 | 0.010 | |||
| WHR分组 | ||||||
| Q1 | 1.000 | 1.000 | 1.000 | |||
| Q2 | 1.071(0.688~1.666) | 0.761 | 1.067(0.678~1.677) | 0.780 | 1.167(0.674~2.020) | 0.582 |
| Q3 | 1.472(0.961~2.253) | 0.176 | 1.643(1.059~2.550) | 0.027 | 1.805(1.061~3.072) | 0.029 |
| Q4 | 1.736(1.146~2.632) | 0.009 | 1.949(1.266~3.000) | 0.002 | 1.968(1.162~3.333) | 0.012 |
| P趋势值 | <0.001 | <0.001 | 0.001 | |||
| WHtR分组 | ||||||
| Q1 | 1.000 | 1.000 | 1.000 | |||
| Q2 | 1.159(0.724~1.856) | 0.538 | 1.002(0.618~1.626) | 0.993 | 1.000(0.558~1.794) | 0.999 |
| Q3 | 1.925(1.241~2.986) | 0.003 | 1.657(1.051~2.613) | 0.030 | 1.658(0.960~2.865) | 0.070 |
| Q4 | 2.540(1.657~3.896) | <0.001 | 1.817(1.161~2.844) | 0.009 | 1.856(1.079~3.194) | 0.025 |
| P趋势值 | <0.001 | <0.001 | 0.003 | |||
| BRI分组 | ||||||
| Q1 | 1.000 | 1.000 | 1.000 | |||
| Q2 | 1.281(0.799~2.054) | 0.305 | 1.106(0.680~1.796) | 0.685 | 1.052(0.586~1.889) | 0.865 |
| Q3 | 2.032(1.302~3.172) | 0.002 | 1.749(1.102~2.775) | 0.018 | 1.704(0.982~2.956) | 0.058 |
| Q4 | 2.682(1.737~4.140) | <0.001 | 1.919(1.218~3.022) | 0.005 | 1.908(1.104~3.299) | 0.021 |
| P趋势值 | <0.001 | <0.001 | 0.002 | |||
| CVAI分组 | ||||||
| Q1 | 1.000 | 1.000 | 1.000 | |||
| Q2 | 1.530(0.970~2.414) | 0.068 | 1.140(0.710~1.829) | 0.588 | 1.218(0.687~2.160) | 0.500 |
| Q3 | 1.891(1.213~2.948) | 0.005 | 1.308(0.822~2.081) | 0.257 | 1.320(0.756~2.303) | 0.329 |
| Q4 | 2.303(1.490~3.560) | <0.001 | 1.588(1.005~2.509) | 0.047 | 1.969(1.124~3.451) | 0.018 |
| P趋势值 | <0.001 | <0.001 | 0.009 | |||
| 变量 | 性别 | 年龄 | ||||||
|---|---|---|---|---|---|---|---|---|
| 男性 | 女性 | <70岁 | ≥70岁 | |||||
| OR(95%CI) | P值 | OR(95%CI) | P值 | OR(95%CI) | P值 | OR(95%CI) | P值 | |
| 中心性肥胖 | ||||||||
| 否 | 1.000 | 1.000 | 1.000 | 1.000 | ||||
| 是 | 3.058(1.172~7.983) | 0.022 | 1.673(1.072~2.611) | 0.023 | 1.736(0.893~3.373) | 0.104 | 1.754(1.074~2.865) | 0.025 |
| P趋势值 | 0.006 | 0.027 | 0.111 | 0.031 | ||||
| BMI分组 | ||||||||
| 正常 | 1.000 | 1.000 | 1.000 | 1.000 | ||||
| 低体质量 | 0.245(0.020~2.975) | 0.270 | 0.579(0.047~7.087) | 0.669 | — | — | 0.985(0.189~5.147) | 0.986 |
| 超重 | 1.392(0.518~3.741) | 0.512 | 1.225(0.737~2.039) | 0.434 | 0.585(0.275~1.245) | 0.164 | 1.890(1.071~3.333) | 0.028 |
| 轻度肥胖 | 1.210(0.334~4.388) | 0.772 | 1.831(1.015~3.302) | 0.044 | 1.077(0.451~2.571) | 0.867 | 2.248(1.137~4.443) | 0.020 |
| 中重度肥胖 | — | — | 2.980(1.123~7.907) | 0.028 | 1.243(0.285~5.413) | 0.772 | 6.723(2.024~22.326) | 0.002 |
| P趋势值 | 0.337 | 0.015 | 0.921 | <0.001 | ||||
| WHR分组 | ||||||||
| Q1 | 1.000 | 1.000 | 1.000 | 1.000 | ||||
| Q2 | 0.897(0.248~3.243) | 0.869 | 1.114(0.589~2.108) | 0.739 | 0.771(0.299~1.991) | 0.591 | 1.539(0.745~3.181) | 0.244 |
| Q3 | 1.566(0.441~5.569) | 0.488 | 1.629(0.877~3.024) | 0.122 | 1.762(0.730~4.255) | 0.208 | 2.120(1.044~4.304) | 0.038 |
| Q4 | 3.478(1.027~11.779) | 0.045 | 1.758(0.960~3.218) | 0.067 | 1.508(0.605~3.758) | 0.378 | 2.990(1.475~6.064) | 0.002 |
| P趋势值 | 0.021 | 0.034 | 0.182 | 0.003 | ||||
| WHtR分组 | ||||||||
| Q1 | 1.000 | 1.000 | 1.000 | 1.000 | ||||
| Q2 | 0.735(0.193~2.797) | 0.652 | 1.348(0.719~2.528) | 0.351 | 0.623(0.220~1.763) | 0.372 | 1.359(0.632~2.925) | 0.433 |
| Q3 | 1.911(0.508~7.184) | 0.338 | 1.404(0.789~2.499) | 0.248 | 1.536(0.599~3.940) | 0.372 | 2.105(1.028~4.310) | 0.042 |
| Q4 | 4.239(1.162~15.462) | 0.029 | 1.889(1.054~3.384) | 0.033 | 1.539(0.618~3.837) | 0.355 | 2.642(1.276~5.468) | 0.009 |
| P趋势值 | 0.015 | 0.043 | 0.141 | 0.009 | ||||
| BRI分组 | ||||||||
| Q1 | 1.000 | 1.000 | 1.000 | 1.000 | ||||
| Q2 | 1.058(0.279~4.018) | 0.934 | 1.078(0.581~2.001) | 0.812 | 0.623(0.220~1.763) | 0.372 | 1.383(0.642~2.982) | 0.408 |
| Q3 | 2.231(0.569~8.751) | 0.250 | 1.208(0.658~2.218) | 0.542 | 1.536(0.599~3.942) | 0.372 | 2.154(1.048~4.427) | 0.037 |
| Q4 | 5.039(1.315~19.306) | 0.018 | 1.717(0.950~3.102) | 0.073 | 1.539(0.617~3.835) | 0.355 | 2.633(1.269~5.461) | 0.009 |
| P趋势值 | 0.013 | 0.068 | 0.132 | 0.009 | ||||
| CVAI分组 | ||||||||
| Q1 | 1.000 | 1.000 | 1.000 | 1.000 | ||||
| Q2 | 1.010(0.230~4.431) | 0.990 | 1.782(0.955~3.322) | 0.069 | 0.432(0.162~1.155) | 0.094 | 1.809(0.825~3.966) | 0.139 |
| Q3 | 1.661(0.500~5.515) | 0.407 | 1.576(0.835~2.976) | 0.161 | 0.937(0.375~2.339) | 0.888 | 2.999(1.398~6.434) | 0.005 |
| Q4 | 4.203(1.132~15.608) | 0.032 | 2.667(1.401~5.077) | 0.003 | 1.071(0.421~2.720) | 0.886 | 3.713(1.691~8.151) | 0.001 |
| P趋势值 | 0.005 | 0.007 | 0.336 | 0.003 | ||||
表4 不同性别、年龄老年人肥胖指标与衰弱相关性的多因素Logistic回归分析
Table 4 Multivariate Logistic regression analysis of the association between obesity indicators and frailty in older adults stratified by gender and age groups
| 变量 | 性别 | 年龄 | ||||||
|---|---|---|---|---|---|---|---|---|
| 男性 | 女性 | <70岁 | ≥70岁 | |||||
| OR(95%CI) | P值 | OR(95%CI) | P值 | OR(95%CI) | P值 | OR(95%CI) | P值 | |
| 中心性肥胖 | ||||||||
| 否 | 1.000 | 1.000 | 1.000 | 1.000 | ||||
| 是 | 3.058(1.172~7.983) | 0.022 | 1.673(1.072~2.611) | 0.023 | 1.736(0.893~3.373) | 0.104 | 1.754(1.074~2.865) | 0.025 |
| P趋势值 | 0.006 | 0.027 | 0.111 | 0.031 | ||||
| BMI分组 | ||||||||
| 正常 | 1.000 | 1.000 | 1.000 | 1.000 | ||||
| 低体质量 | 0.245(0.020~2.975) | 0.270 | 0.579(0.047~7.087) | 0.669 | — | — | 0.985(0.189~5.147) | 0.986 |
| 超重 | 1.392(0.518~3.741) | 0.512 | 1.225(0.737~2.039) | 0.434 | 0.585(0.275~1.245) | 0.164 | 1.890(1.071~3.333) | 0.028 |
| 轻度肥胖 | 1.210(0.334~4.388) | 0.772 | 1.831(1.015~3.302) | 0.044 | 1.077(0.451~2.571) | 0.867 | 2.248(1.137~4.443) | 0.020 |
| 中重度肥胖 | — | — | 2.980(1.123~7.907) | 0.028 | 1.243(0.285~5.413) | 0.772 | 6.723(2.024~22.326) | 0.002 |
| P趋势值 | 0.337 | 0.015 | 0.921 | <0.001 | ||||
| WHR分组 | ||||||||
| Q1 | 1.000 | 1.000 | 1.000 | 1.000 | ||||
| Q2 | 0.897(0.248~3.243) | 0.869 | 1.114(0.589~2.108) | 0.739 | 0.771(0.299~1.991) | 0.591 | 1.539(0.745~3.181) | 0.244 |
| Q3 | 1.566(0.441~5.569) | 0.488 | 1.629(0.877~3.024) | 0.122 | 1.762(0.730~4.255) | 0.208 | 2.120(1.044~4.304) | 0.038 |
| Q4 | 3.478(1.027~11.779) | 0.045 | 1.758(0.960~3.218) | 0.067 | 1.508(0.605~3.758) | 0.378 | 2.990(1.475~6.064) | 0.002 |
| P趋势值 | 0.021 | 0.034 | 0.182 | 0.003 | ||||
| WHtR分组 | ||||||||
| Q1 | 1.000 | 1.000 | 1.000 | 1.000 | ||||
| Q2 | 0.735(0.193~2.797) | 0.652 | 1.348(0.719~2.528) | 0.351 | 0.623(0.220~1.763) | 0.372 | 1.359(0.632~2.925) | 0.433 |
| Q3 | 1.911(0.508~7.184) | 0.338 | 1.404(0.789~2.499) | 0.248 | 1.536(0.599~3.940) | 0.372 | 2.105(1.028~4.310) | 0.042 |
| Q4 | 4.239(1.162~15.462) | 0.029 | 1.889(1.054~3.384) | 0.033 | 1.539(0.618~3.837) | 0.355 | 2.642(1.276~5.468) | 0.009 |
| P趋势值 | 0.015 | 0.043 | 0.141 | 0.009 | ||||
| BRI分组 | ||||||||
| Q1 | 1.000 | 1.000 | 1.000 | 1.000 | ||||
| Q2 | 1.058(0.279~4.018) | 0.934 | 1.078(0.581~2.001) | 0.812 | 0.623(0.220~1.763) | 0.372 | 1.383(0.642~2.982) | 0.408 |
| Q3 | 2.231(0.569~8.751) | 0.250 | 1.208(0.658~2.218) | 0.542 | 1.536(0.599~3.942) | 0.372 | 2.154(1.048~4.427) | 0.037 |
| Q4 | 5.039(1.315~19.306) | 0.018 | 1.717(0.950~3.102) | 0.073 | 1.539(0.617~3.835) | 0.355 | 2.633(1.269~5.461) | 0.009 |
| P趋势值 | 0.013 | 0.068 | 0.132 | 0.009 | ||||
| CVAI分组 | ||||||||
| Q1 | 1.000 | 1.000 | 1.000 | 1.000 | ||||
| Q2 | 1.010(0.230~4.431) | 0.990 | 1.782(0.955~3.322) | 0.069 | 0.432(0.162~1.155) | 0.094 | 1.809(0.825~3.966) | 0.139 |
| Q3 | 1.661(0.500~5.515) | 0.407 | 1.576(0.835~2.976) | 0.161 | 0.937(0.375~2.339) | 0.888 | 2.999(1.398~6.434) | 0.005 |
| Q4 | 4.203(1.132~15.608) | 0.032 | 2.667(1.401~5.077) | 0.003 | 1.071(0.421~2.720) | 0.886 | 3.713(1.691~8.151) | 0.001 |
| P趋势值 | 0.005 | 0.007 | 0.336 | 0.003 | ||||
图1 老年人肥胖指标与衰弱相关性的剂量-反应关系注:A~F分别表示腰围、BMI、腰臀比(WHR)、腰高比(WHtR)、身体圆度指数(BRI)、中国内脏脂肪指数(CVAI)与衰弱相关性的剂量-反应关系曲线;模型调整同模型3。
Figure 1 Adjusted dose-response relationship between obesity indicators and frailty in older adults
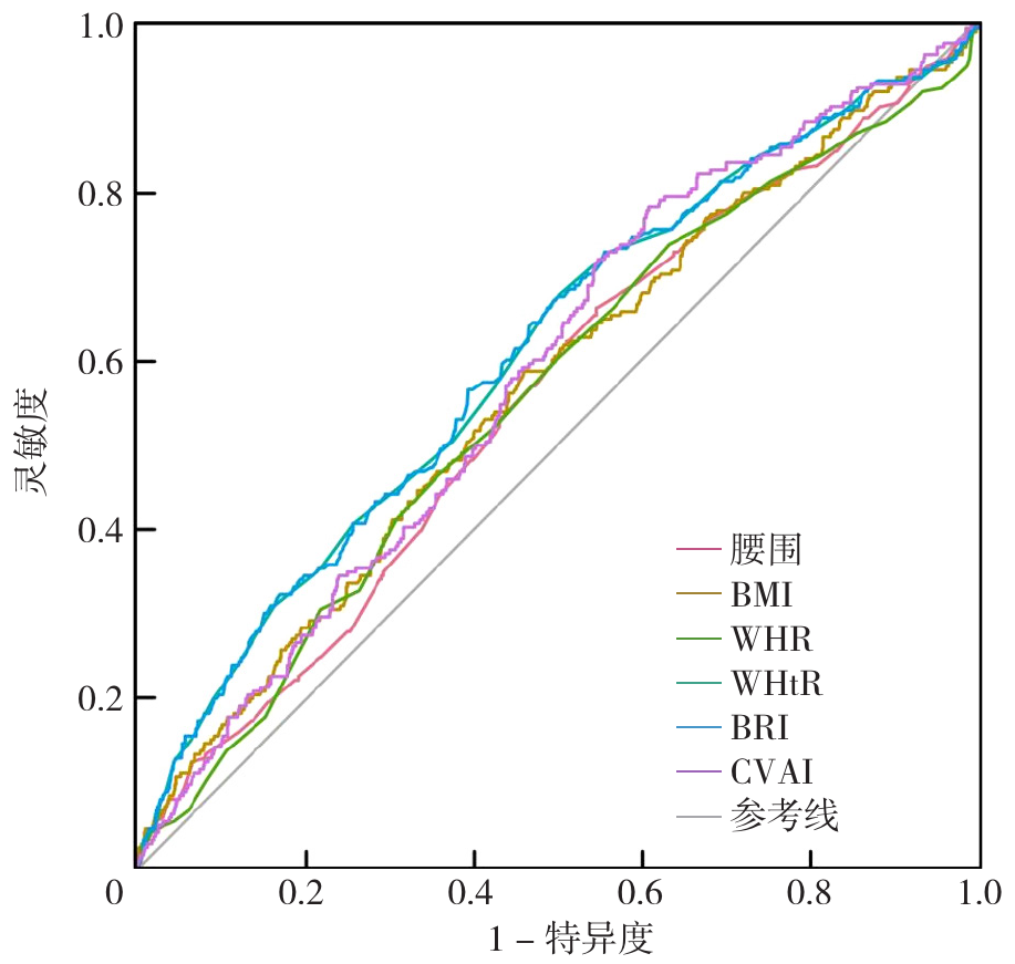
| 变量 | AUC(95%CI) | 灵敏度 | 特异度 | 最佳截断值 | P值 |
|---|---|---|---|---|---|
| 腰围 | 0.557(0.515~0.598) | 0.664 | 0.455 | 85.336 cm | 0.004 |
| BMI | 0.570(0.528~0.612) | 0.588 | 0.542 | 25.38 kg/m2 | 0.001 |
| WHR | 0.558(0.515~0.600) | 0.580 | 0.534 | 0.899 | 0.004 |
| WHtR | 0.610(0.568~0.652) | 0.673 | 0.506 | 0.545 | <0.001 |
| BRI | 0.610(0.568~0.652) | 0.673 | 0.506 | 4.245 | <0.001 |
| CVAI | 0.586(0.546~0.626) | 0.783 | 0.393 | 111.554 | <0.001 |
表5 老年人不同肥胖指标预测衰弱风险的ROC曲线分析
Table 5 ROC curve analysis of different obesity indicators for predicting frailty in older adults
| 变量 | AUC(95%CI) | 灵敏度 | 特异度 | 最佳截断值 | P值 |
|---|---|---|---|---|---|
| 腰围 | 0.557(0.515~0.598) | 0.664 | 0.455 | 85.336 cm | 0.004 |
| BMI | 0.570(0.528~0.612) | 0.588 | 0.542 | 25.38 kg/m2 | 0.001 |
| WHR | 0.558(0.515~0.600) | 0.580 | 0.534 | 0.899 | 0.004 |
| WHtR | 0.610(0.568~0.652) | 0.673 | 0.506 | 0.545 | <0.001 |
| BRI | 0.610(0.568~0.652) | 0.673 | 0.506 | 4.245 | <0.001 |
| CVAI | 0.586(0.546~0.626) | 0.783 | 0.393 | 111.554 | <0.001 |
| [1] |
中华医学会老年医学分会, 杨云梅, 拓西平, 等. 老年人衰弱预防中国专家共识(2022)[J]. 中华危重症医学杂志(电子版), 2022, 15(2): 89-97. DOI: 10.3877/cma.j.issn.1674-6880.2022.02.001.
|
| [2] |
|
| [3] |
尹佳慧, 曾雁冰, 周鼒, 等. 中国老年人衰弱状况及其影响因素分析[J]. 中华流行病学杂志, 2018, 39(9): 1244-1248. DOI: 10.3760/cma.j.issn.0254-6450.2018.09.019.
|
| [4] |
侯莎洁, 丁尧, 郭小兰, 等. 中国社区老年居民衰弱发生率与影响因素的Meta分析[J]. 医学新知, 2024, 34(3): 301-311.
|
| [5] |
洛佳坤, 马宇飞, 刘睿涵, 等. 老年衰弱分布的流行病学研究现状[J]. 中国医学前沿杂志(电子版), 2023, 15(5): 64-68.
|
| [6] |
|
| [7] |
|
| [8] |
|
| [9] |
The Lancet Diabetes Endocrinology. Redefining obesity: advancing care for better lives[J]. Lancet Diabetes Endocrinol, 2025, 13(2): 75. DOI: 10.1016/S2213-8587(25)00004-X.
|
| [10] |
赵连成, 彭亚光, 李莹, 等. 腰围和腰围身高比预测中心性肥胖的效果与差异[J]. 中华流行病学杂志, 2013, 34(2): 120-124. DOI: 10.3760/cma.j.issn.0254-6450.2013.02.0003.
|
| [11] |
|
| [12] |
|
| [13] |
|
| [14] |
|
| [15] |
|
| [16] |
|
| [17] |
|
| [18] |
慈莉娅, 杨长春, 郑鹏远等. 医养结合机构衰弱老年人多重用药安全管理中国专家共识(2022版)[J]. 中华保健医学杂志, 2022, 24(5): 355-362. DOI: 10.3969/j.issn.1007-5410.2022.05.002.
|
| [19] |
|
| [20] |
|
| [21] |
中华人民共和国国家卫生健康委员会医政司. 肥胖症中国诊疗指南(2024年版)[J]. 协和医学杂志, 2025, 16(1): 90-108. DOI: 10.12290/xhyxzz.2024-0918.
|
| [22] |
|
| [23] |
林洋, 王芳, 王寒, 等. 老年共病患者衰弱患病率的Meta分析[J]. 中国全科医学, 2023, 26(25): 3185-3193. DOI: 10.12114/j.issn.1007-9572.2022.0521.
|
| [24] |
|
| [25] |
|
| [26] |
高蓉, 苏烨, 陈佩妍, 等. 老年人适宜体质指数的研究进展[J]. 中华老年医学杂志, 2016(9): 1022-1026. DOI: 10.3760/cma.j.issn.0254-9026.2016.09.025.
|
| [27] |
|
| [28] |
|
| [29] |
|
| [30] |
|
| [31] |
|
| [32] |
|
| [33] |
|
| [34] |
|
| [35] |
|
| [36] |
|
| [37] |
|
| [38] |
|
| [39] |
|
| [40] |
|
| [41] |
|
| [42] |
|
| [43] |
|
| [44] |
|
| [45] |
|
| [1] | 韩正, 傅方琳, 孙梦, 潘姚佳, 王为强. ≥60岁人群中国内脏肥胖指数与心血管代谢性共病关系的横断面研究[J]. 中国全科医学, 2026, 29(06): 693-698. |
| [2] | 张玲, 黄双英, 徐慧, 梅慧婷, 洪咏萍. 不同运动方式对老年人跌倒效能影响的网状Meta分析[J]. 中国全科医学, 2026, 29(06): 741-751. |
| [3] | 田紫薇, 杨支兰, 赵慧敏, 翟艳萍, 李鸿雁, 杜淼, 晋源媛, 宋泽雨. 膝骨关节炎患者衰弱研究的范围综述[J]. 中国全科医学, 2026, 29(05): 676-680. |
| [4] | 刘璠, 李嘉丽, 柯立鑫, 张强, 陈嘉慧, 卢存存, 赵信科. 1990—2021年全球与中国60岁及以上人群高胆固醇血症的疾病负担:趋势分析与模型预测[J]. 中国全科医学, 2026, 29(05): 631-640. |
| [5] | 冯展鹏, 谭思洁, 郭振, 曹立全. 24 h活动行为对青少年代谢综合征的成分等时替代效益研究[J]. 中国全科医学, 2026, 29(03): 325-330. |
| [6] | 盛鲁光, 刘丹丹, 刘维斌, 鲁郡, 雷涛, 陈清光, 陆灏, 徐碧林. 短期饮食干预对肥胖合并糖代谢异常患者的影响研究[J]. 中国全科医学, 2026, 29(03): 373-379. |
| [7] | 郑华涛, 王世强, 李丹, 杨鄂, 罗丹, 赖雨, 马仁涛. 老年人身体活动变化轨迹与衰弱的关联研究[J]. 中国全科医学, 2026, 29(03): 316-324. |
| [8] | 张颖, 杨梓钰, 刘力滴, 廖晓阳, 贾禹, 沈灿, 杨荣. 美国运动医学会《成人体力活动与超重、肥胖共识声明》解读[J]. 中国全科医学, 2026, 29(03): 293-298. |
| [9] | 马玉萍, 乔梦媛, 何雁云, 徐曼如, 陈崇利, 伍文彬. "体病相关"视角下探析老年2型糖尿病伴轻度认知障碍现状及影响因素研究:以四川省为例[J]. 中国全科医学, 2026, 29(02): 188-194. |
| [10] | 程卓卓, 张睿, 胡娇, 潘萱达, 徐浩枫, 黄君庭, 晏平, 梁子敬. 老年人慢性病共病与日常生活活动能力受损的关联研究[J]. 中国全科医学, 2026, 29(02): 219-225. |
| [11] | 赵晓晓, 丁韵涵, 陈嘉慧, 王海博, 柯立鑫, 王子怡, 高武霖, 卢笑晖, 武继彪, 卢存存. 1990—2021年中国与全球老年1型糖尿病的疾病负担分析与未来趋势预测[J]. 中国全科医学, 2026, 29(01): 67-75. |
| [12] | 胡哲涛, 潘小毅. 连续性卫生服务视角下我国居家社区医养结合政策效力量化研究[J]. 中国全科医学, 2026, 29(01): 42-49. |
| [13] | 聂倩倩, 程桂荣, 宋丹, 李景耀, 许浪, 张丽娟. 中国社区老年人患高血压及其共病与痴呆的关联性研究[J]. 中国全科医学, 2026, 29(01): 76-83. |
| [14] | 任盼盼, 贾常离, 贾晶晶, 许晶琳, 陈梦瑶, 张翔. 农村老年人生计资本对生命质量的影响:基于不同慢性病患病情况的研究[J]. 中国全科医学, 2026, 29(01): 129-136. |
| [15] | 中国康复科学所, 中国残疾人康复协会社区康复专业委员会, 中国老年保健医学研究会老年康复分会, 南方医科大学附属广东省人民医院(广东省医学科学院), 广州市康复医学会. 社区老年人肌肉减少症筛查专家共识[J]. 中国全科医学, 2025, 28(36): 4517-4534. |
| 阅读次数 | ||||||
|
全文 |
|
|||||
|
摘要 |
|
|||||





