
Chinese General Practice ›› 2026, Vol. 29 ›› Issue (02): 180-187.DOI: 10.12114/j.issn.1007-9572.2025.0117
Special Issue: 心血管最新文章合辑
• Article • Previous Articles
Received:2025-03-20
Revised:2025-06-25
Published:2026-01-15
Online:2025-07-14
Contact:
MA Guoliang
通讯作者:
马国亮
作者简介:作者贡献:
范转转负责研究的构思与设计、数据分析与文章撰写;李文婷进行数据的收集与整理,文章的修改;马国亮负责文章的质量控制与审查,对文章整体负责,监督管理。
基金资助:CLC Number:
Add to citation manager EndNote|Ris|BibTeX
URL: https://www.chinagp.net/EN/10.12114/j.issn.1007-9572.2025.0117
| 组别 | 例数 | 年龄 | 受教育程度a | ||||||
|---|---|---|---|---|---|---|---|---|---|
| ≤54岁 | 55~64岁 | 65~74岁 | ≥75岁 | 小学以下 | 小学 | 中学 | 高中及以上 | ||
| Q1组 | 742 | 274(36.93) | 320(43.13) | 124(16.71) | 24(3.23) | 96(12.94) | 58(7.82) | 21(2.83) | 566(76.28) |
| Q2组 | 1 249 | 324(25.94) | 587(47.00) | 275(22.02) | 63(5.04) | 133(10.65) | 127(10.17) | 26(2.08) | 963(77.10) |
| Q3组 | 1 463 | 248(16.95) | 643(43.95) | 440(30.08) | 132(9.02) | 168(11.48) | 137(9.36) | 32(2.19) | 1 126(76.97) |
| Q4组 | 1 289 | 115(8.92) | 485(37.63) | 480(37.24) | 209(16.21) | 157(12.18) | 113(8.77) | 29(2.25) | 990(76.80) |
| χ2值 | 440.1 | 6.9 | |||||||
| P值 | <0.001 | 0.647 | |||||||
| 组别 | 婚姻状况 | 居住地 | 高血压 | BMI | |||||
| 已婚 | 其他 | 农村 | 城镇 | 否 | 是 | 偏瘦 | 正常 | 超重或肥胖 | |
| Q1组 | 645(86.93) | 97(13.07) | 667(89.89) | 75(10.11) | 605(81.54) | 137(18.46) | 139(18.73) | 556(74.93) | 47(6.33) |
| Q2组 | 1 059(84.79) | 190(15.21) | 1 107(88.63) | 142(11.37) | 942(75.42) | 307(24.58) | 42(3.36) | 926(74.14) | 281(22.50) |
| Q3组 | 1 201(82.09) | 262(17.91) | 1 209(82.64) | 254(17.36) | 964(65.89) | 499(34.11) | 6(0.41) | 558(38.14) | 899(61.45) |
| Q4组 | 990(76.80) | 299(23.20) | 1 048(81.30) | 241(18.70) | 587(45.54) | 702(54.46) | 1(0.08) | 107(8.30) | 1 181(91.62) |
| χ2值 | 42.5 | 47.0 | 365.2 | 2 226.8 | |||||
| P值 | <0.001 | <0.001 | <0.001 | <0.001 | |||||
| 组别 | 睡眠时长a | 认知功能a | 自评健康a | ||||||
| ≤5 h | 6~7 h | >7~8 h | >8 h | 正常 | 障碍 | 好 | 一般 | 不好 | |
| Q1组 | 395(53.24) | 114(15.37) | 132(17.79) | 81(10.92) | 280(37.74) | 436(58.76) | 140(18.87) | 367(49.46) | 225(30.33) |
| Q2组 | 677(54.21) | 179(14.34) | 230(18.42) | 131(10.49) | 486(38.92) | 724(57.97) | 247(19.78) | 644(51.57) | 348(27.87) |
| Q3组 | 767(52.43) | 248(16.96) | 261(17.84) | 131(8.96) | 611(41.77) | 792(54.14) | 296(20.24) | 752(51.41) | 391(26.73) |
| Q4组 | 680(52.76) | 198(15.36) | 238(18.47) | 127(9.86) | 458(35.54) | 776(60.21) | 211(16.37) | 627(48.65) | 430(33.36) |
| χ2值 | 6.2 | 11.8 | 19.4 | ||||||
| P值 | 0.724 | 0.008 | 0.003 | ||||||
| 组别 | 吸烟a | 饮酒a | 生活满意度 | ||||||
| 已戒烟 | 不吸烟 | 吸烟 | 不饮酒 | 饮酒 | 好 | 一般 | 不好 | ||
| Q1组 | 4(0.54) | 654(88.14) | 6(0.81) | 616(83.02) | 125(16.85) | 296(39.89) | 409(55.12) | 37(4.99) | |
| Q2组 | 4(0.32) | 1 149(92.00) | 4(0.32) | 1 044(83.59) | 204(16.34) | 513(41.07) | 691(55.32) | 45(3.60) | |
| Q3组 | 8(0.55) | 1 337(91.39) | 5(0.35) | 1 258(85.99) | 204(13.95) | 604(41.29) | 796(54.41) | 63(4.31) | |
| Q4组 | 11(0.86) | 1 150(89.22) | 3(0.24) | 1 144(88.75) | 145(11.25) | 561(43.52) | 664(51.51) | 64(4.97) | |
| χ2值 | 8.1 | 18.1 | 7.2 | ||||||
| P值 | 0.229 | <0.001 | 0.300 | ||||||
Table 1 Comparison of baseline characteristics of different CVAI groups in 2015
| 组别 | 例数 | 年龄 | 受教育程度a | ||||||
|---|---|---|---|---|---|---|---|---|---|
| ≤54岁 | 55~64岁 | 65~74岁 | ≥75岁 | 小学以下 | 小学 | 中学 | 高中及以上 | ||
| Q1组 | 742 | 274(36.93) | 320(43.13) | 124(16.71) | 24(3.23) | 96(12.94) | 58(7.82) | 21(2.83) | 566(76.28) |
| Q2组 | 1 249 | 324(25.94) | 587(47.00) | 275(22.02) | 63(5.04) | 133(10.65) | 127(10.17) | 26(2.08) | 963(77.10) |
| Q3组 | 1 463 | 248(16.95) | 643(43.95) | 440(30.08) | 132(9.02) | 168(11.48) | 137(9.36) | 32(2.19) | 1 126(76.97) |
| Q4组 | 1 289 | 115(8.92) | 485(37.63) | 480(37.24) | 209(16.21) | 157(12.18) | 113(8.77) | 29(2.25) | 990(76.80) |
| χ2值 | 440.1 | 6.9 | |||||||
| P值 | <0.001 | 0.647 | |||||||
| 组别 | 婚姻状况 | 居住地 | 高血压 | BMI | |||||
| 已婚 | 其他 | 农村 | 城镇 | 否 | 是 | 偏瘦 | 正常 | 超重或肥胖 | |
| Q1组 | 645(86.93) | 97(13.07) | 667(89.89) | 75(10.11) | 605(81.54) | 137(18.46) | 139(18.73) | 556(74.93) | 47(6.33) |
| Q2组 | 1 059(84.79) | 190(15.21) | 1 107(88.63) | 142(11.37) | 942(75.42) | 307(24.58) | 42(3.36) | 926(74.14) | 281(22.50) |
| Q3组 | 1 201(82.09) | 262(17.91) | 1 209(82.64) | 254(17.36) | 964(65.89) | 499(34.11) | 6(0.41) | 558(38.14) | 899(61.45) |
| Q4组 | 990(76.80) | 299(23.20) | 1 048(81.30) | 241(18.70) | 587(45.54) | 702(54.46) | 1(0.08) | 107(8.30) | 1 181(91.62) |
| χ2值 | 42.5 | 47.0 | 365.2 | 2 226.8 | |||||
| P值 | <0.001 | <0.001 | <0.001 | <0.001 | |||||
| 组别 | 睡眠时长a | 认知功能a | 自评健康a | ||||||
| ≤5 h | 6~7 h | >7~8 h | >8 h | 正常 | 障碍 | 好 | 一般 | 不好 | |
| Q1组 | 395(53.24) | 114(15.37) | 132(17.79) | 81(10.92) | 280(37.74) | 436(58.76) | 140(18.87) | 367(49.46) | 225(30.33) |
| Q2组 | 677(54.21) | 179(14.34) | 230(18.42) | 131(10.49) | 486(38.92) | 724(57.97) | 247(19.78) | 644(51.57) | 348(27.87) |
| Q3组 | 767(52.43) | 248(16.96) | 261(17.84) | 131(8.96) | 611(41.77) | 792(54.14) | 296(20.24) | 752(51.41) | 391(26.73) |
| Q4组 | 680(52.76) | 198(15.36) | 238(18.47) | 127(9.86) | 458(35.54) | 776(60.21) | 211(16.37) | 627(48.65) | 430(33.36) |
| χ2值 | 6.2 | 11.8 | 19.4 | ||||||
| P值 | 0.724 | 0.008 | 0.003 | ||||||
| 组别 | 吸烟a | 饮酒a | 生活满意度 | ||||||
| 已戒烟 | 不吸烟 | 吸烟 | 不饮酒 | 饮酒 | 好 | 一般 | 不好 | ||
| Q1组 | 4(0.54) | 654(88.14) | 6(0.81) | 616(83.02) | 125(16.85) | 296(39.89) | 409(55.12) | 37(4.99) | |
| Q2组 | 4(0.32) | 1 149(92.00) | 4(0.32) | 1 044(83.59) | 204(16.34) | 513(41.07) | 691(55.32) | 45(3.60) | |
| Q3组 | 8(0.55) | 1 337(91.39) | 5(0.35) | 1 258(85.99) | 204(13.95) | 604(41.29) | 796(54.41) | 63(4.31) | |
| Q4组 | 11(0.86) | 1 150(89.22) | 3(0.24) | 1 144(88.75) | 145(11.25) | 561(43.52) | 664(51.51) | 64(4.97) | |
| χ2值 | 8.1 | 18.1 | 7.2 | ||||||
| P值 | 0.229 | <0.001 | 0.300 | ||||||
| 疾病 | CVAI四分位分组 | 模型1 | 模型2 | 模型3 | |||
|---|---|---|---|---|---|---|---|
| HR(95%CI) | P值 | HR(95%CI) | P值 | HR(95%CI) | P值 | ||
| 心脏病 | Q1组 | 1.00 | 1.00 | 1.00 | |||
| Q2组 | 1.30(0.98~1.72) | 0.069 | 1.26(0.95~1.67) | 0.112 | 1.28(0.92~1.77) | 0.143 | |
| Q3组 | 1.54(1.17~2.01) | 0.002 | 1.43(1.09~1.88) | 0.010 | 1.57(1.14~2.15) | 0.005 | |
| Q4组 | 1.84(1.41~2.41) | <0.001 | 1.67(1.26~2.20) | <0.001 | 1.68(1.21~2.33) | 0.002 | |
| Ptrend值 | <0.001 | <0.001 | <0.001 | ||||
| 卒中 | Q1组 | 1.00 | 1.00 | 1.00 | |||
| Q2组 | 1.53(1.01~2.32) | 0.045 | 1.40(0.92~2.11) | 0.123 | 1.42(0.87~2.32) | 0.163 | |
| Q3组 | 2.12(1.43~3.15) | <0.001 | 1.80(1.21~2.67) | 0.004 | 1.76(1.10~2.82) | 0.018 | |
| Q4组 | 3.11(2.12~4.58) | <0.001 | 2.45(1.65~3.64) | <0.001 | 1.95(1.21~3.14) | 0.006 | |
| Ptrend值 | <0.001 | <0.001 | <0.001 | ||||
| CVD | Q1组 | 1.00 | 1.00 | 1.00 | |||
| Q2组 | 1.35(1.06~1.71) | 0.016 | 1.28(1.00~1.63) | 0.049 | 1.33(1.00~1.76) | 0.048 | |
| Q3组 | 1.75(1.40~2.21) | <0.001 | 1.59(1.26~2.00) | <0.001 | 1.69(1.29~2.21) | <0.001 | |
| Q4组 | 2.25(1.80~2.83) | <0.001 | 1.95(1.54~2.47) | <0.001 | 1.82(1.38~2.41) | <0.001 | |
| Ptrend值 | <0.001 | <0.001 | <0.001 | ||||
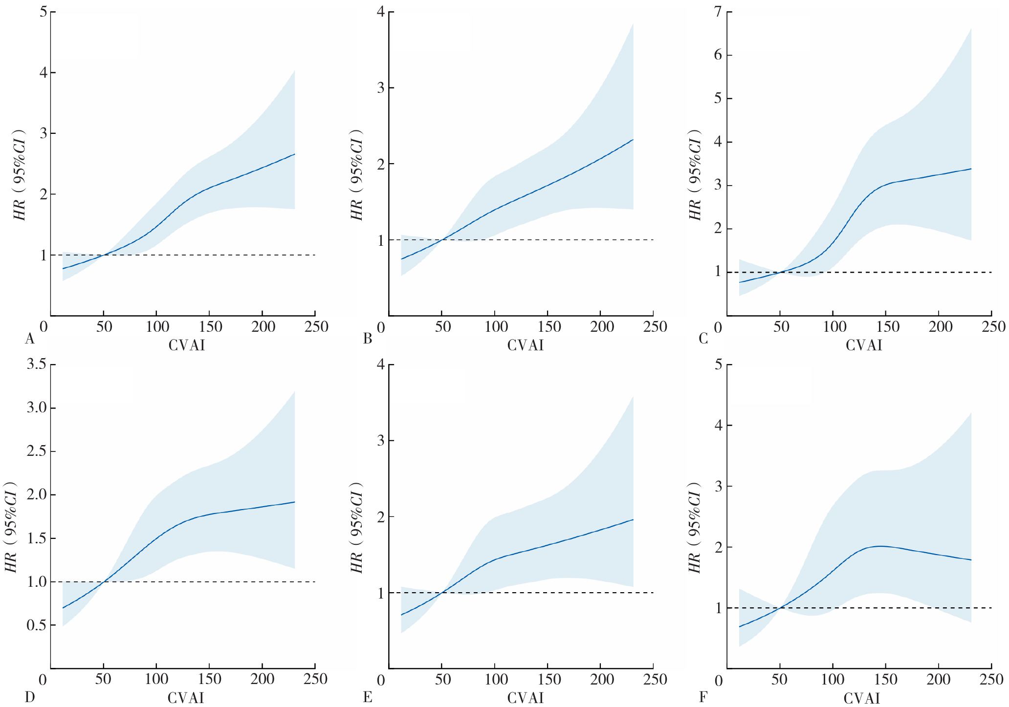
Table 2 Multivariate Cox regression of relationship between the CVAI and cardiovascular disease in postmenopausal women
| 疾病 | CVAI四分位分组 | 模型1 | 模型2 | 模型3 | |||
|---|---|---|---|---|---|---|---|
| HR(95%CI) | P值 | HR(95%CI) | P值 | HR(95%CI) | P值 | ||
| 心脏病 | Q1组 | 1.00 | 1.00 | 1.00 | |||
| Q2组 | 1.30(0.98~1.72) | 0.069 | 1.26(0.95~1.67) | 0.112 | 1.28(0.92~1.77) | 0.143 | |
| Q3组 | 1.54(1.17~2.01) | 0.002 | 1.43(1.09~1.88) | 0.010 | 1.57(1.14~2.15) | 0.005 | |
| Q4组 | 1.84(1.41~2.41) | <0.001 | 1.67(1.26~2.20) | <0.001 | 1.68(1.21~2.33) | 0.002 | |
| Ptrend值 | <0.001 | <0.001 | <0.001 | ||||
| 卒中 | Q1组 | 1.00 | 1.00 | 1.00 | |||
| Q2组 | 1.53(1.01~2.32) | 0.045 | 1.40(0.92~2.11) | 0.123 | 1.42(0.87~2.32) | 0.163 | |
| Q3组 | 2.12(1.43~3.15) | <0.001 | 1.80(1.21~2.67) | 0.004 | 1.76(1.10~2.82) | 0.018 | |
| Q4组 | 3.11(2.12~4.58) | <0.001 | 2.45(1.65~3.64) | <0.001 | 1.95(1.21~3.14) | 0.006 | |
| Ptrend值 | <0.001 | <0.001 | <0.001 | ||||
| CVD | Q1组 | 1.00 | 1.00 | 1.00 | |||
| Q2组 | 1.35(1.06~1.71) | 0.016 | 1.28(1.00~1.63) | 0.049 | 1.33(1.00~1.76) | 0.048 | |
| Q3组 | 1.75(1.40~2.21) | <0.001 | 1.59(1.26~2.00) | <0.001 | 1.69(1.29~2.21) | <0.001 | |
| Q4组 | 2.25(1.80~2.83) | <0.001 | 1.95(1.54~2.47) | <0.001 | 1.82(1.38~2.41) | <0.001 | |
| Ptrend值 | <0.001 | <0.001 | <0.001 | ||||
| 亚组 | 自变量 | CVD | 心脏病 | 卒中 | |||
|---|---|---|---|---|---|---|---|
| HR(95%CI) | P值 | HR(95%CI) | P值 | HR(95%CI) | P值 | ||
| 年龄 | |||||||
| <65岁 | Q1 | 1.00 | 1.00 | 1.00 | |||
| Q2 | 1.37(0.99~1.89) | 0.058 | 1.27(0.87~1.84) | 0.216 | 1.62(0.90~2.90) | 0.105 | |
| Q3 | 1.73(1.26~2.36) | <0.001 | 1.59(1.10~2.28) | 0.013 | 1.95(1.10~3.44) | <0.001 | |
| Q4 | 1.99(1.43~2.77) | <0.001 | 1.77(1.20~2.61) | 0.004 | 2.26(1.26~4.07) | <0.001 | |
| Ptrend值 | <0.001 | 0.002 | <0.001 | ||||
| ≥65岁 | Q1 | 1.00 | 1.00 | 1.00 | |||
| Q2 | 1.40(0.79~2.51) | 0.251 | 1.44(0.73~2.84) | 0.292 | 1.19(0.47~3.00) | 0.708 | |
| Q3 | 1.84(1.07~3.18) | 0.028 | 1.69(0.89~3.21) | 0.112 | 1.71(0.72~4.02) | 0.222 | |
| Q4 | 1.97(1.14~3.39) | 0.015 | 1.82(0.96~3.46) | 0.067 | 1.88(0.80~4.40) | 0.146 | |
| Ptrend值 | 0.006 | 0.056 | 0.048 | ||||
| BMI | |||||||
| <24.35 kg/m2 | Q1 | 1.00 | 1.00 | ||||
| Q2 | 1.40(1.03~1.88) | 0.030 | 1.41(1.00~1.99) | 0.052 | 1.35(0.80~2.27) | 0.267 | |
| Q3 | 1.69(1.21~2.38) | 0.002 | 1.54(1.03~2.29) | 0.037 | 1.88(1.07~3.31) | 0.029 | |
| Q4 | 1.95(1.61~3.28) | 0.011 | 1.66(0.88~3.10) | 0.116 | 2.88(1.30~6.37) | 0.009 | |
| Ptrend值 | <0.001 | 0.036 | 0.004 | ||||
| ≥24.35 kg/m2 | Q1 | 1.00 | 1.00 | 1.00 | |||
| Q2 | 1.03(0.36~2.99) | 0.951 | 0.71(0.20~2.51) | 0.597 | 2.20(0.28~17.04) | 0.451 | |
| Q3 | 1.63(0.60~4.44) | 0.337 | 1.56(0.49~4.97) | 0.450 | 2.06(0.28~15.09) | 0.475 | |
| Q4 | 1.72(0.63~4.67) | 0.290 | 1.65(0.52~5.27) | 0.394 | 2.08(0.29~15.14) | 0.470 | |
| Ptrend值 | 0.055 | 0.032 | <0.001 | ||||
| 居住地 | |||||||
| 农村 | Q1 | 1.00 | 1.00 | 1.00 | |||
| Q2 | 1.30(0.96~1.76) | 0.093 | 1.20(0.85~1.70) | 0.298 | 1.49(0.87~2.57) | 0.147 | |
| Q3 | 1.67(1.25~2.24) | <0.001 | 1.43(1.02~2.01) | 0.037 | 2.00(1.18~3.35) | 0.037 | |
| Q4 | 1.82(1.34~2.45) | <0.001 | 1.52(1.07~2.16) | 0.020 | 2.22(1.31~3.77) | 0.020 | |
| Ptrend值 | <0.001 | 0.012 | <0.001 | ||||
| 城镇 | Q1 | 1.00 | 1.00 | 1.00 | |||
| Q2 | 1.43(0.66~3.09) | 0.365 | 1.91(0.70~5.26) | 0.209 | 0.86(0.26~2.82) | 0.802 | |
| Q3 | 1.69(0.81~3.51) | 0.159 | 2.62(1.00~6.85) | 0.050 | 0.80(0.26~2.46) | 0.694 | |
| Q4 | 1.77(0.83~3.78) | 0.142 | 2.94(1.09~7.94) | 0.033 | 0.87(0.28~2.70) | 0.806 | |
| Ptrend值 | 0.149 | 0.026 | 0.921 | ||||
Table 3 Subgroup analysis of the relationship between CVAI and the risk of cardiovascular disease in postmenopausal women
| 亚组 | 自变量 | CVD | 心脏病 | 卒中 | |||
|---|---|---|---|---|---|---|---|
| HR(95%CI) | P值 | HR(95%CI) | P值 | HR(95%CI) | P值 | ||
| 年龄 | |||||||
| <65岁 | Q1 | 1.00 | 1.00 | 1.00 | |||
| Q2 | 1.37(0.99~1.89) | 0.058 | 1.27(0.87~1.84) | 0.216 | 1.62(0.90~2.90) | 0.105 | |
| Q3 | 1.73(1.26~2.36) | <0.001 | 1.59(1.10~2.28) | 0.013 | 1.95(1.10~3.44) | <0.001 | |
| Q4 | 1.99(1.43~2.77) | <0.001 | 1.77(1.20~2.61) | 0.004 | 2.26(1.26~4.07) | <0.001 | |
| Ptrend值 | <0.001 | 0.002 | <0.001 | ||||
| ≥65岁 | Q1 | 1.00 | 1.00 | 1.00 | |||
| Q2 | 1.40(0.79~2.51) | 0.251 | 1.44(0.73~2.84) | 0.292 | 1.19(0.47~3.00) | 0.708 | |
| Q3 | 1.84(1.07~3.18) | 0.028 | 1.69(0.89~3.21) | 0.112 | 1.71(0.72~4.02) | 0.222 | |
| Q4 | 1.97(1.14~3.39) | 0.015 | 1.82(0.96~3.46) | 0.067 | 1.88(0.80~4.40) | 0.146 | |
| Ptrend值 | 0.006 | 0.056 | 0.048 | ||||
| BMI | |||||||
| <24.35 kg/m2 | Q1 | 1.00 | 1.00 | ||||
| Q2 | 1.40(1.03~1.88) | 0.030 | 1.41(1.00~1.99) | 0.052 | 1.35(0.80~2.27) | 0.267 | |
| Q3 | 1.69(1.21~2.38) | 0.002 | 1.54(1.03~2.29) | 0.037 | 1.88(1.07~3.31) | 0.029 | |
| Q4 | 1.95(1.61~3.28) | 0.011 | 1.66(0.88~3.10) | 0.116 | 2.88(1.30~6.37) | 0.009 | |
| Ptrend值 | <0.001 | 0.036 | 0.004 | ||||
| ≥24.35 kg/m2 | Q1 | 1.00 | 1.00 | 1.00 | |||
| Q2 | 1.03(0.36~2.99) | 0.951 | 0.71(0.20~2.51) | 0.597 | 2.20(0.28~17.04) | 0.451 | |
| Q3 | 1.63(0.60~4.44) | 0.337 | 1.56(0.49~4.97) | 0.450 | 2.06(0.28~15.09) | 0.475 | |
| Q4 | 1.72(0.63~4.67) | 0.290 | 1.65(0.52~5.27) | 0.394 | 2.08(0.29~15.14) | 0.470 | |
| Ptrend值 | 0.055 | 0.032 | <0.001 | ||||
| 居住地 | |||||||
| 农村 | Q1 | 1.00 | 1.00 | 1.00 | |||
| Q2 | 1.30(0.96~1.76) | 0.093 | 1.20(0.85~1.70) | 0.298 | 1.49(0.87~2.57) | 0.147 | |
| Q3 | 1.67(1.25~2.24) | <0.001 | 1.43(1.02~2.01) | 0.037 | 2.00(1.18~3.35) | 0.037 | |
| Q4 | 1.82(1.34~2.45) | <0.001 | 1.52(1.07~2.16) | 0.020 | 2.22(1.31~3.77) | 0.020 | |
| Ptrend值 | <0.001 | 0.012 | <0.001 | ||||
| 城镇 | Q1 | 1.00 | 1.00 | 1.00 | |||
| Q2 | 1.43(0.66~3.09) | 0.365 | 1.91(0.70~5.26) | 0.209 | 0.86(0.26~2.82) | 0.802 | |
| Q3 | 1.69(0.81~3.51) | 0.159 | 2.62(1.00~6.85) | 0.050 | 0.80(0.26~2.46) | 0.694 | |
| Q4 | 1.77(0.83~3.78) | 0.142 | 2.94(1.09~7.94) | 0.033 | 0.87(0.28~2.70) | 0.806 | |
| Ptrend值 | 0.149 | 0.026 | 0.921 | ||||
| [1] |
中华医学会心血管病学分会, 中国康复医学会心脏预防与康复专业委员会, 中国老年学和老年医学会心脏专业委员会, 等.中国心血管病一级预防指南[J].中华心血管病杂志, 2020, 48(12): 1000-1038. DOI: 10.3760/cma.j.cn112148-20201009-00796.
|
| [2] |
|
| [3] |
何洁琼, 陈军. 老年心血管疾病与抑郁的相关性研究进展[J]. 中华老年多器官疾病杂志, 2023, 22(9): 712-715.
|
| [4] |
曹宁, 牛丽薇, 张楠, 等. 内蒙古心血管疾病患者健康相关生活质量及其影响因素的研究[J]. 现代预防医学, 2021, 48(15): 2857-2861. DOI: 10.20043/j.cnki.mpm.2021.15.035.
|
| [5] |
刘佳月, 冯玉宝. 心血管疾病与认知功能障碍筛查的研究进展[J]. 中国社区医师, 2022, 38(6): 7-9.
|
| [6] |
中国心血管健康与疾病报告编写组. 中国心血管健康与疾病报告2021概要[J]. 中国循环杂志, 2022, 37(6): 553-578.
|
| [7] |
杨继, 张垚, 马腾, 等. 1990—2019年中国心血管疾病流行现状、疾病负担及发病预测分析[J]. 中国全科医学, 2024, 27(2): 233-244, 252.
|
| [8] |
|
| [9] |
|
| [10] |
|
| [11] |
杨静芬, 黄晓渝. 中国人内脏脂肪指数与中老年心血管疾病发病风险的关联性研究[J]. 临床心血管病杂志, 2024, 40(1): 40-45. DOI: 10.13201/j.issn.1001-1439.2024.01.008.
|
| [12] |
|
| [13] |
|
| [14] |
|
| [15] |
|
| [16] |
陈妍春, 杨洪喜, 张馨予, 等. 中老年人群超重肥胖联合代谢综合征与心血管疾病发病风险的关联研究[J]. 中国慢性病预防与控制, 2023, 31(11): 812-816, 821. DOI: 10.16386/j.cjpccd.issn.1004-6194.2023.11.003.
|
| [17] |
|
| [18] |
|
| [19] |
|
| [20] |
|
| [21] |
|
| [22] |
张丽, 赵珈艺, 范乐, 等. 内脏脂肪指数、脂质蓄积指数与脑卒中高危人群颈动脉粥样硬化的相关性研究[J]. 中国动脉硬化杂志, 2021, 29(3): 240-246.
|
| [23] |
|
| [24] |
|
| [25] |
|
| [26] |
|
| [27] |
周洁, 贾爱华, 姬秋和. 关注正常体重代谢性肥胖和体重波动带来的影响[J]. 中华糖尿病杂志, 2017, 9(4): 209-213. DOI: 10.3760/cma.j.issn.1674-5809.2017.04.001.
|
| [28] |
向心月,张冰青,欧阳煜钦,等. 短期内科门诊减重对肥胖患者动脉粥样硬化性心血管疾病风险的影响研究[J]. 中国全科医学, 2025, 28(26): 3229-3239. DOI: 10.12114/j.issn.1007-9572.2024.0652.
|
| [29] |
杨菲,韩正,付晓雅,等. 体重正常人群中身体圆度指数与心血管代谢性共病的相关性研究:三酰甘油葡萄糖乘积指数的中介作用[J]. 中国全科医学, 2025, 28(22): 2798-2805. DOI: 10.12114/j.issn.1007-9572.2025.0009.
|
| [30] |
潘磊磊, 游弋, 郭洁, 等. 辽宁省城乡居民血压水平及心血管疾病危险因素聚集情况分析[J]. 中国慢性病预防与控制, 2022, 30(12): 924-928. DOI: 10.16386/j.cjpccd.issn.1004-6194.2022.12.009.
|
| [31] |
李小辉, 魏思昂, 陈树嘉, 等. 中国城乡居民饮食结构改变与心血管疾病相关性分析[J]. 中国食物与营养, 2023, 29(2): 81-84, 89. DOI:10.19870/j.cnki.11-3716/ts.2023.02.005.
|
| [32] |
安芹彧,王艺颖,张小丹,等. 社会经济地位、健康生活方式对心血管疾病影响的前瞻性队列研究[J]. 中国全科医学, 2025, 28(16): 2017-2024. DOI: 10.12114/j.issn.1007-9572.2024.0279.
|
| [33] |
汤淑女, 尹香君, 崔丽嘉, 等. 基于Blinder-Oaxaca分解分析的中国城乡居民体检服务利用差异研究[J]. 中国慢性病预防与控制, 2023, 31(6): 433-437, 443. DOI:10.16386/j.cjpccd.issn.1004-6194.2023.06.007.
|
| [1] | LONG Yutong, LU Shiyu, TAN Jie, YANG Bolu, DUAN Jingying, YANG Tongde, YAN Lijing, GONG Enying, SHAO Ruitai. Long-term Medication Adherence Attitudes and Behaviors of Stroke Patients in Rural Areas of China and Related Factors: Based on Follow-up Data from a Certain County in Hebei Province [J]. Chinese General Practice, 2026, 29(02): 170-179. |
| [2] | ZHANG Shu, CHENG Yu, WU Shouling, CHEN Shuohua, WU Yuntao. The Impact of Cumulative Plasma Atherogenic Index Exposure on Incident Cardiovascular Disease in Non-Diabetic Individuals: a Cohort Study [J]. Chinese General Practice, 2025, 28(36): 4558-4565. |
| [3] | LIU Yan, YUAN Yanling, LING Rong, WANG Lanyun, SUN Li. Scoping Review of Telemedicine Application in Cardiac Rehabilitation for Coronary Heart Disease Patients [J]. Chinese General Practice, 2025, 28(36): 4640-4647. |
| [4] | ZHANG Ying, LIAO Xiaoyang, YANG Hanfei, YU Yongjun, LIU Lidi, JIA Yu, SHEN Can, LI Xiao, HUANG Chuanying, YANG Rong. Interpretation of the 2024 International Society of Hypertension Position Paper on Innovations in Blood Pressure Measurement and Reporting Technology and Its Implications for China [J]. Chinese General Practice, 2025, 28(36): 4541-4549. |
| [5] | ZHAO Zhuo, WANG He. Research Progress on the Mechanism of HIF-2α in Cardiovascular Diseases [J]. Chinese General Practice, 2025, 28(33): 4241-4248. |
| [6] | DAI Tiangu, HE Qing, GAO Xuefei, ZHANG Gaoyu, FAN Jiarong, WANG Zihan, XIAO Xiang, LI Lin. The Predictive Value of Combined Detection of Brachial-ankle Pulse Wave Velocity, Serum Total Cholesterol and N-terminal Pro-B-type Natriuretic Peptide for Coronary Heart Disease in Patients with Essential Hypertension [J]. Chinese General Practice, 2025, 28(32): 4061-4066. |
| [7] | LIU Mingbo, HE Xinye, YANG Xiaohong, WANG Zengwu. Interpretation of Report on Cardiovascular Health and Diseases in China 2024 [J]. Chinese General Practice, 2025, 28(32): 3989-4008. |
| [8] | ZHOU Qibao, LUO Xiao, CHEN Ling, CAO Junda, LI Juxiang, XU Jinsong, SU Hai. Clinical Study on the Diagnostic Value of Circadian Variability of Systolic Blood Pressure Combined with SDNN in Coronary Heart Disease [J]. Chinese General Practice, 2025, 28(30): 3760-3765. |
| [9] | WU Wenjun, WEI Jingjing, LI Xue, REN Hongjie, YU Rui, PENG Guangcao, ZHU Mingjun. Regularity of Prescriptions for Coronary Heart Disease with Hypertension Based on Latent Structure and Association Rules [J]. Chinese General Practice, 2025, 28(30): 3787-3795. |
| [10] | HAN Xue, LIU Huan, LOU Xiaole, SONG Jianing, ZHANG Ziang, GENG Zongxiao, WANG Shan, ZHANG Yongqing, XU Lei. Intermittent θ Burst Stimulation Combined with Chin Tuck Against Resistance Training for Dysphagia in Stroke Patients: a Randomized Controlled Trial [J]. Chinese General Practice, 2025, 28(29): 3625-3630. |
| [11] | SU Qing, XU Yao, LI Yihang, WANG Liyan, CAI Yefeng, NI Xiaojia. Quality Evaluation of Methodology on the Changes in Traditional Chinese Medicine Syndromes of Stroke and Risk Population [J]. Chinese General Practice, 2025, 28(29): 3694-3702. |
| [12] | LI Yibing, JIA Hongbo, FAN Xiaonong, ZHAO Wenjun, LIU Wei, GE Wenyi, LI Songjiao, LEI Kangchen, ZHANG Menglong, ZHANG Weiwei, CHEN Yang, LI Li. Comprehensive Evaluation of Prognostic Factors Affecting Dysphagia after Stroke: an Umbrella Review [J]. Chinese General Practice, 2025, 28(29): 3631-3637. |
| [13] | SUN Haixin, JIANG Bin. Practical Evidence and Reflection on Hypertension Control Strategies in Stroke Prevention and Management in China [J]. Chinese General Practice, 2025, 28(29): 3601-3607. |
| [14] | ZHOU Sheng, DENG Changsheng, ZOU Guanyang, SONG Jianping. Research Progress on the Pathogenesis of Complications of Malaria in Cardiovascular Diseases [J]. Chinese General Practice, 2025, 28(27): 3466-3472. |
| [15] | XIANG Xinyue, ZHANG Bingqing, OUYANG Yuqin, TANG Wenjuan, FENG Wenhuan. Impact of Short-term Medical Weight Loss on Atherosclerotic Cardiovascular Disease Risk in Patients with Obesity [J]. Chinese General Practice, 2025, 28(26): 3229-3239. |
| Viewed | ||||||
|
Full text |
|
|||||
|
Abstract |
|
|||||