
Chinese General Practice ›› 2025, Vol. 28 ›› Issue (31): 3932-3941.DOI: 10.12114/j.issn.1007-9572.2024.0646
• Original Research • Previous Articles Next Articles
Received:2024-12-09
Revised:2025-05-16
Published:2025-11-05
Online:2025-09-23
Contact:
WANG Peng, TAO Liyuan
通讯作者:
王鹏, 陶立元
作者简介:作者贡献:
廖姣姣、王照宇、陶立元提出研究思路,设计研究方案;廖姣姣、王照宇、李兆基负责研究数据的收集和整理;廖姣姣、王照宇、赵威负责数据的统计分析和研究结果的解释及可视化;廖姣姣负责论文起草;詹思延、王鹏、陶立元负责论文的修订;王鹏、陶立元对文章整体负责,监督管理。
基金资助:
Add to citation manager EndNote|Ris|BibTeX
URL: https://www.chinagp.net/EN/10.12114/j.issn.1007-9572.2024.0646
| 指标 | 男(n=2 487) | 女(n=3 254) | ||||||
|---|---|---|---|---|---|---|---|---|
| 无颈动脉内中膜增厚(n=2 094) | 颈动脉内中膜增厚(n=393) | Z(χ2)值 | P值 | 无颈动脉内中膜增厚(n=2 924) | 颈动脉内中膜增厚(n=330) | Z(χ2)值 | P值 | |
| 随访时间[M(Q1,Q3),年] | 3.26(1.83,5.09) | 3.99(2.11,6.07) | -3.57 | <0.001 | 3.79(1.98,6.22) | 4.13(2.05,7.19) | -3.74 | <0.001 |
| 年龄[M(Q1,Q3),岁] | 32.40(27.99,39.05) | 41.71(35.21,48.12) | -15.56 | <0.001 | 34.61(29.37,40.55) | 43.75(39.18,48.25) | -16.76 | <0.001 |
| BMI[M(Q1,Q3),kg/m2] | 24.30(22.30,26.52) | 25.05(23.01,27.00) | -3.70 | <0.001 | 21.50(19.83,23.39) | 22.39(20.90,24.40) | -5.95 | <0.001 |
| SBP[M(Q1,Q3),mmHg] | 122(114,131) | 125(114,133) | -2.64 | 0.008 | 112(104,121) | 118(109,128) | -7.38 | <0.001 |
| DBP[M(Q1,Q3),mmHg] | 74(68,81) | 77(71,84) | -4.96 | <0.001 | 69(63,75) | 72(66,79) | -5.58 | <0.001 |
| TC[M(Q1,Q3),mg/dL] | 172.85(155.45,191.80) | 178.27(160.48,197.22) | -3.55 | 0.001 | 172.85(154.29,191.90) | 185.23(165.22,204.85) | -6.50 | <0.001 |
| TG[M(Q1,Q3),mg/dL] | 105.40(78.83,140.83) | 114.26(88.57,152.34) | -3.85 | <0.001 | 78.83(60.23,104.51) | 95.66(71.74,119.35) | -6.94 | <0.001 |
| LDL-C[M(Q1,Q3),mg/dL] | 107.89(92.42,124.52) | 114.46(96.29,129.93) | -3.87 | <0.001 | 99.38(84.69,115.24) | 110.79(92.61,126.35) | -6.77 | <0.001 |
| HDL-C[M(Q1,Q3),mg/dL] | 45.24(40.60,51.43) | 45.24(40.22,51.43) | 0.92 | 0.356 | 55.30(48.34,63.03) | 53.36(47.27,61.87) | 1.86 | 0.063 |
| nHDL-C[M(Q1,Q3),mg/dL] | 126.45(109.44,144.24) | 133.41(112.92,150.04) | -3.88 | <0.001 | 115.62(99.77,134.57) | 129.54(109.82,146.56) | -7.70 | <0.001 |
| 高血压[例(%)] | 252(12.0) | 64(16.3) | 5.01a | 0.025 | 123(4.2) | 25(7.6) | 7.00a | 0.008 |
| 高尿酸血症[例(%)] | 624(29.8) | 117(29.8) | <0.001a | 1.000 | 36(1.2) | 3(0.9) | 0.06a | 0.808 |
Table 1 Basic characteristics of the study participants
| 指标 | 男(n=2 487) | 女(n=3 254) | ||||||
|---|---|---|---|---|---|---|---|---|
| 无颈动脉内中膜增厚(n=2 094) | 颈动脉内中膜增厚(n=393) | Z(χ2)值 | P值 | 无颈动脉内中膜增厚(n=2 924) | 颈动脉内中膜增厚(n=330) | Z(χ2)值 | P值 | |
| 随访时间[M(Q1,Q3),年] | 3.26(1.83,5.09) | 3.99(2.11,6.07) | -3.57 | <0.001 | 3.79(1.98,6.22) | 4.13(2.05,7.19) | -3.74 | <0.001 |
| 年龄[M(Q1,Q3),岁] | 32.40(27.99,39.05) | 41.71(35.21,48.12) | -15.56 | <0.001 | 34.61(29.37,40.55) | 43.75(39.18,48.25) | -16.76 | <0.001 |
| BMI[M(Q1,Q3),kg/m2] | 24.30(22.30,26.52) | 25.05(23.01,27.00) | -3.70 | <0.001 | 21.50(19.83,23.39) | 22.39(20.90,24.40) | -5.95 | <0.001 |
| SBP[M(Q1,Q3),mmHg] | 122(114,131) | 125(114,133) | -2.64 | 0.008 | 112(104,121) | 118(109,128) | -7.38 | <0.001 |
| DBP[M(Q1,Q3),mmHg] | 74(68,81) | 77(71,84) | -4.96 | <0.001 | 69(63,75) | 72(66,79) | -5.58 | <0.001 |
| TC[M(Q1,Q3),mg/dL] | 172.85(155.45,191.80) | 178.27(160.48,197.22) | -3.55 | 0.001 | 172.85(154.29,191.90) | 185.23(165.22,204.85) | -6.50 | <0.001 |
| TG[M(Q1,Q3),mg/dL] | 105.40(78.83,140.83) | 114.26(88.57,152.34) | -3.85 | <0.001 | 78.83(60.23,104.51) | 95.66(71.74,119.35) | -6.94 | <0.001 |
| LDL-C[M(Q1,Q3),mg/dL] | 107.89(92.42,124.52) | 114.46(96.29,129.93) | -3.87 | <0.001 | 99.38(84.69,115.24) | 110.79(92.61,126.35) | -6.77 | <0.001 |
| HDL-C[M(Q1,Q3),mg/dL] | 45.24(40.60,51.43) | 45.24(40.22,51.43) | 0.92 | 0.356 | 55.30(48.34,63.03) | 53.36(47.27,61.87) | 1.86 | 0.063 |
| nHDL-C[M(Q1,Q3),mg/dL] | 126.45(109.44,144.24) | 133.41(112.92,150.04) | -3.88 | <0.001 | 115.62(99.77,134.57) | 129.54(109.82,146.56) | -7.70 | <0.001 |
| 高血压[例(%)] | 252(12.0) | 64(16.3) | 5.01a | 0.025 | 123(4.2) | 25(7.6) | 7.00a | 0.008 |
| 高尿酸血症[例(%)] | 624(29.8) | 117(29.8) | <0.001a | 1.000 | 36(1.2) | 3(0.9) | 0.06a | 0.808 |
| 潜类别个数(个) | 最大对数似然估计值 | AIC | BIC | SABIC | 熵值 | Score Test P值 | 人数[例(%)] | |||
|---|---|---|---|---|---|---|---|---|---|---|
| 类别1 | 类别2 | 类别3 | 类别4 | |||||||
| 1 | -44 963.82 | 89 957.64 | 90 044.92 | 89 997.27 | 1.000 0 | 0 | 2 487(100.00) | |||
| 2 | -44 923.37 | 89 888.75 | 90 010.94 | 89 944.22 | 0.484 3 | 0.050 5 | 2 123(85.36) | 364(14.64) | ||
| 3 | -44 899.70 | 89 853.39 | 90 010.50 | 89 924.71 | 0.607 1 | 0.207 9 | 2 084(83.80) | 27(1.09) | 376(15.12) | |
| 4 | -44 891.23 | 89 848.46 | 90 040.48 | 89 935.64 | 0.561 6 | 0.919 7 | 274(11.02) | 37(1.49) | 82(3.30) | 2 094(84.20) |
Table 2 Results of determining the optimal number of groups for the model in male subjects
| 潜类别个数(个) | 最大对数似然估计值 | AIC | BIC | SABIC | 熵值 | Score Test P值 | 人数[例(%)] | |||
|---|---|---|---|---|---|---|---|---|---|---|
| 类别1 | 类别2 | 类别3 | 类别4 | |||||||
| 1 | -44 963.82 | 89 957.64 | 90 044.92 | 89 997.27 | 1.000 0 | 0 | 2 487(100.00) | |||
| 2 | -44 923.37 | 89 888.75 | 90 010.94 | 89 944.22 | 0.484 3 | 0.050 5 | 2 123(85.36) | 364(14.64) | ||
| 3 | -44 899.70 | 89 853.39 | 90 010.50 | 89 924.71 | 0.607 1 | 0.207 9 | 2 084(83.80) | 27(1.09) | 376(15.12) | |
| 4 | -44 891.23 | 89 848.46 | 90 040.48 | 89 935.64 | 0.561 6 | 0.919 7 | 274(11.02) | 37(1.49) | 82(3.30) | 2 094(84.20) |
| 潜类别个数(个) | 最大对数似然估计值 | AIC | BIC | SABIC | 熵值 | Score Test P值 | 人数[例(%)] | |||
|---|---|---|---|---|---|---|---|---|---|---|
| 类别1 | 类别2 | 类别3 | 类别4 | |||||||
| 1 | -61 939.82 | 123 907.64 | 123 992.87 | 123 948.39 | 1.000 0 | 0 | 3 254(100.00) | |||
| 2 | -61 901.56 | 123 843.12 | 123 964.87 | 123 901.32 | 0.652 3 | 0.008 8 | 3 000(92.19) | 254(7.81) | ||
| 3 | -61 878.90 | 123 809.81 | 123 968.08 | 123 885.47 | 0.694 6 | 0.010 1 | 2 978(91.36) | 23(0.86) | 253(7.78) | |
| 4 | -61 868.66 | 123 801.32 | 123 996.12 | 123 894.44 | 0.658 5 | 0.267 8 | 3 029(93.09) | 41(1.26) | 149(4.58) | 35(1.08) |
Table 3 Results of determining the optimal number of groups for the model in female subjects
| 潜类别个数(个) | 最大对数似然估计值 | AIC | BIC | SABIC | 熵值 | Score Test P值 | 人数[例(%)] | |||
|---|---|---|---|---|---|---|---|---|---|---|
| 类别1 | 类别2 | 类别3 | 类别4 | |||||||
| 1 | -61 939.82 | 123 907.64 | 123 992.87 | 123 948.39 | 1.000 0 | 0 | 3 254(100.00) | |||
| 2 | -61 901.56 | 123 843.12 | 123 964.87 | 123 901.32 | 0.652 3 | 0.008 8 | 3 000(92.19) | 254(7.81) | ||
| 3 | -61 878.90 | 123 809.81 | 123 968.08 | 123 885.47 | 0.694 6 | 0.010 1 | 2 978(91.36) | 23(0.86) | 253(7.78) | |
| 4 | -61 868.66 | 123 801.32 | 123 996.12 | 123 894.44 | 0.658 5 | 0.267 8 | 3 029(93.09) | 41(1.26) | 149(4.58) | 35(1.08) |
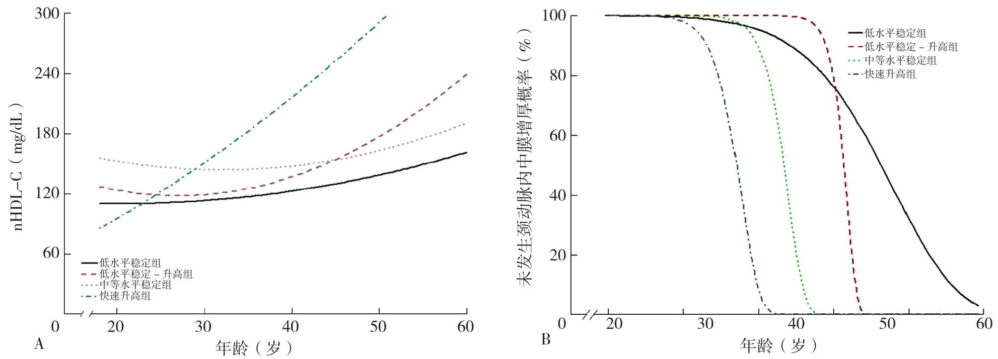
| JLCM分类 | HR(95%CI) | P值 |
|---|---|---|
| 男 | ||
| 类别1(低水平稳定组) | 1.00 | |
| 类别3(缓慢升高组) | 10.51(7.90~13.98) | <0.001 |
| 类别2(快速升高组) | 23.25(10.40~51.98) | <0.001 |
| 女 | ||
| 类别1(低水平稳定组) | 1.00 | |
| 类别2(低水平稳定-升高组) | 3.69(2.27~5.99) | <0.001 |
| 类别3(中等水平稳定组) | 15.48(10.56~22.70) | <0.001 |
| 类别4(快速升高组) | 13.93(5.44~35.69) | <0.001 |
Table 4 Hazard ratios for each latent class of non-HDL-C in male and female populations
| JLCM分类 | HR(95%CI) | P值 |
|---|---|---|
| 男 | ||
| 类别1(低水平稳定组) | 1.00 | |
| 类别3(缓慢升高组) | 10.51(7.90~13.98) | <0.001 |
| 类别2(快速升高组) | 23.25(10.40~51.98) | <0.001 |
| 女 | ||
| 类别1(低水平稳定组) | 1.00 | |
| 类别2(低水平稳定-升高组) | 3.69(2.27~5.99) | <0.001 |
| 类别3(中等水平稳定组) | 15.48(10.56~22.70) | <0.001 |
| 类别4(快速升高组) | 13.93(5.44~35.69) | <0.001 |
| [1] |
|
| [2] |
国家心血管病中心,中国心血管健康与疾病报告编写组,胡盛寿. 中国心血管健康与疾病报告2023概要[J]. 中国循环杂志,2024,39(7):625-660.
|
| [3] |
|
| [4] |
|
| [5] |
中华医学会神经病学分会,中华医学会神经病学分会脑血管病学组. 中国头颈部动脉粥样硬化诊治共识[J]. 中华神经科杂志,2017,50(8):572-578.
|
| [6] |
|
| [7] |
|
| [8] |
|
| [9] |
|
| [10] |
|
| [11] |
|
| [12] |
|
| [13] |
|
| [14] |
|
| [15] |
中国血脂管理指南修订联合专家委员会. 中国血脂管理指南(2023年)[J]. 中国循环杂志,2023,38(3):237-271.
|
| [16] |
中国高血压防治指南修订委员会,高血压联盟(中国),中国医疗保健国际交流促进会高血压病学分会,等. 中国高血压防治指南(2024年修订版)[J]. 中华高血压杂志(中英文),2024,32(7):603-700.
|
| [17] |
中华医学会内分泌学分会. 中国高尿酸血症与痛风诊疗指南(2019)[J]. 中华内分泌代谢杂志,2020,36(1):1-13.
|
| [18] |
秦瑶,韩红娟,刘龙,等. 联合潜在类别模型在轻度认知障碍向认知正常逆转研究中的应用[J]. 中国卫生统计,2023,40(6):836-840.
|
| [19] |
|
| [20] |
|
| [21] |
|
| [22] |
|
| [23] |
National Clinical Guideline Centre. Lipid modification-CVD prevention[EB/OL].(2024-09-01)[2024-11-23].
|
| [24] |
|
| [1] | WANG Biyou, GAO Ying, YOU Junfang, LIU Li, ZHANG Qing, SU Haiyan. Canonical Correlation Analysis of Lipid Ratios and Inflammatory Markers in Individuals at Risk of Cardiovascular Disease [J]. Chinese General Practice, 2025, 28(33): 4132-4139. |
| [2] | CHEN Huilong, LIAO Yunchu, LIU Yuwei, KONG Zhenghui, HUANG Xinghui, XU Jiahui, QI Na, WANG Yuanping, LIANG Wenjian. Association between Relative Fat Mass and Cardiovascular Disease in Middle-aged and Elderly Population: a Cross-sectional and Longitudinal Study Based on CHARLS [J]. Chinese General Practice, 2025, 28(32): 4047-4054. |
| [3] | ZHANG Ji, ZHOU Jie, LI Ling, WU Yanli, JI Wei, LIU Tao. Associations of Fasting Blood Glucose with All-cause Mortality and Specific-cause Mortality in a Prospective Cohort Study [J]. Chinese General Practice, 2025, 28(31): 3924-3931. |
| [4] | XIANG Xinyue, ZHANG Bingqing, OUYANG Yuqin, TANG Wenjuan, FENG Wenhuan. Impact of Short-term Medical Weight Loss on Atherosclerotic Cardiovascular Disease Risk in Patients with Obesity [J]. Chinese General Practice, 2025, 28(26): 3229-3239. |
| [5] | GAO Haijun, REN Jiayu, WANG Ruolin, ZHOU Huiya, QU Peng. Research Progress on the Role of Endothelial Cell Injury and Dysfunction in Atherosclerosis [J]. Chinese General Practice, 2025, 28(21): 2697-2704. |
| [6] | MEI Jingyan, CHEN Min, ZHANG Lieqiang, PAN Yunxi, WANG Xin, ZHAO Xiaodeng, ZHAN Wei, LIU Tao, WANG Yiying. Association between Cumulative Lipid Accumulation Index and Hypertension: a Prospective Cohort Study [J]. Chinese General Practice, 2025, 28(18): 2205-2211. |
| [7] | CHU Tianyu, GU Yan. Carotid Artery Calcification Features in Plaque Stability and Clinical Events [J]. Chinese General Practice, 2025, 28(18): 2247-2252. |
| [8] | AN Qinyu, WANG Yiying, ZHANG Xiaodan, ZHANG Tianlin, ZHAN Qingqing, ZHANG Fuyan, LIU Tao, WU Yanli. Prospective Cohort Study of the Impact of Socioeconomic Status and Healthy Lifestyle on Cardiovascular Disease [J]. Chinese General Practice, 2025, 28(16): 2017-2024. |
| [9] | ZHANG Xin, ZHU Qing, LI Nanfang. Association of Lipid Accumulation Product Index and Chronic Kidney Disease in Patients with Hypertension with Abnormal Glucose Metabolism: a Retrospective Cohort Study [J]. Chinese General Practice, 2025, 28(15): 1840-1846. |
| [10] | ZHANG Shujing, SUN Lixin, CAO Yuqing. Comparative Study on the Clinicopathological Features and Prognostic between HPV-related and Non-HPV-related Cervical Adenocarcinoma [J]. Chinese General Practice, 2025, 28(14): 1758-1764. |
| [11] | NI Xuetong, AHEYEERKE Halengbieke, TANG Jianmin, CAO Tengrui, TAO Lixin, ZHENG Deqiang, LI Qiang, HAN Yumei, YANG Xinghua. The Bidirectional Temporal Causal Association Study between Dysglycaemia and Non-alcoholic Fatty Liver Disease: Based on the Beijing Health Management Cohort [J]. Chinese General Practice, 2025, 28(13): 1607-1613. |
| [12] | CHEN Xiaolu, LIU Jian. A Retrospective Cohort Study of Chinese Herbal Medicine Reducing the Risk of Readmission of Rheumatoid Arthritis Complicated with Sjogren's Syndrome [J]. Chinese General Practice, 2025, 28(12): 1506-1512. |
| [13] | GU Keyi, PAN Yaojia, HAN Zheng, FU Xiaoya, GU Handong, YANG Fei, WANG Weiqiang. Correlation between Different Obesity Metabolic Phenotypes and Atherosclerosis in a Young Population: Uric Acid as Its Potential Factor [J]. Chinese General Practice, 2025, 28(07): 831-837. |
| [14] | CHENG Lu, QIN Cun, BAI Pinqing, WANG Jianying, REN Yaping, HU Xiaojuan, ZHANG Baojun, ZHANG Lei, ZHOU Yixin. Correlation between Traditional Chinese Medicine Constitution and Blood Lipid Metabolism in Children: Based on the Shanghai Child and Adolescent Health Cohort [J]. Chinese General Practice, 2025, 28(06): 751-755. |
| [15] | CHEN Ling, XU Rui, CHENG Xinchun, ZHANG Zhanying, XU Hong. Mechanism of Liraglutide in Oxidized Low-density Lipoprotein Induced Endothelial Cell Injury Based on NOD-like Receptor 3 Inflammasome Pathway [J]. Chinese General Practice, 2025, 28(05): 601-606. |
| Viewed | ||||||
|
Full text |
|
|||||
|
Abstract |
|
|||||