Chinese General Practice ›› 2026, Vol. 29 ›› Issue (07): 893-899.DOI: 10.12114/j.issn.1007-9572.2024.0600

Special Issue: 儿科最新文章合辑

• Original Research • Previous Articles     Next Articles

Impact of Childhood Adverse Experiences on Health-related Quality of Life in Adulthood: a Mediating Role of the Number of Chronic Diseases

  

  1. 1. School of Public Health, North Sichuan Medical College, Nanchong 637100, China
    2. School of Nursing, North Sichuan Medical College, Nanchong 637000, China
    3. Sichuan Primary Health Development Research Center, North Sichuan Medical College, Nanchong 637000, China
    4. School of Management, North Sichuan Medical College, Nanchong 637100, China
    5. Key Laboratory of Disease Surveillance and Digital Health Management, Nanchong 637100, China
  • Received:2025-01-13 Revised:2025-04-22 Published:2026-03-05 Online:2026-02-13
  • Contact: KE Xiong

童年不良经历与成年后健康相关生命质量的关系研究:慢性病数量的中介作用

  

  1. 1.637100 四川省南充市,川北医学院公共卫生学院
    2.637000 四川省南充市,川北医学院护理学院
    3.637000 四川省南充市,川北医学院四川省基层卫生事业发展研究中心
    4.637100 四川省南充市,川北医学院管理学院
    5.637100 四川省南充市,疾病监测与数智健康治理重点实验室
  • 通讯作者: 柯雄
  • 作者简介:

    作者贡献:

    蒋炫提出研究思路,负责论文撰写,对论文整体负责;蒋炫、陈银海负责研究过程的实施,设计研究方案,选取调查对象;陆元蔚负责数据收集;陆元蔚、张加丽负责统计学分析,绘制图表;陆元蔚、林淙铉负责论文修订;柯雄负责文章的质量控制与审查,对文章整体负责。

  • 基金资助:
    南充市市校科技战略合作专项(22SXCXTD0003)

Abstract:

Background

The impact of adverse childhood experiences (ACE) on individual health is enormous. However, the association among ACEs, health-related quality of life (HRQOL), and the number of chronic diseases remain poorly explored.

Objective

The aim is to explore the relationship between ACEs and HRQOL, as well as whether the number of chronic diseases has a mediating role between ACEs and HRQOL in adulthood. The research provides a theoretical basis for improving the HRQOL of Chinese residents.

Methods

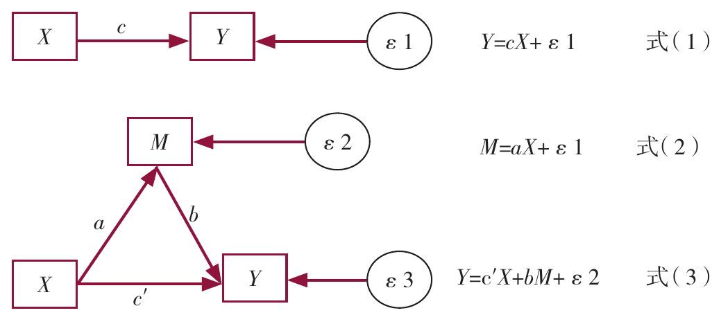
Based on data from the 2023 Psychology and Behavior Investigation of Chinese Residents (PBICR) conducted between June and September 2023, this study included a total of 1 932 sample. The European 5 dimensional 5 level health assement (EQ-5D-5L) scale and Adverse Childhood Experiences Questionnaire (ACE-Q) conduct a survey; and Model 4 of the Process plugin was employed for simple mediation model testing.

Results

A total of 611 subjects (31.63%) suffered from chronic diseases, and 555 subjects (28.73%) experienced at least one type of Adverse Childhood Experiences (ACEs), among whom 255 subjects (13.20%) had experienced 3 or more ACEs.The results indicate that ACEs were negatively correlated with HRQOL (rs=-0.271, -0.127, P<0.01) and positively associated with the number of chronic diseases (rs=0.223, P<0.01). The results of bootstrap test showed that the mediation effect between the number of chronic diseases in adverse experience and health utility value was -0.049, accounting for 26.20% of the total effect, and the mediation effect between childhood adverse experience and self-rated health was -0.023, accounting for 16.08% of the total effect.

Conclusion

The number of chronic diseases is partially mediated between adverse childhood experiences and health-related quality of life in adulthood. Therefore, timely screening and intervention for chronic diseases in the ACEs-exposed population is essential to promote healthy aging.

Key words: Adverse childhood experiences, Health-related quality of life, Chronic disease, Mediation analysis, Sichuan

摘要:

背景

童年不良经历(ACEs)对个人健康存在巨大影响,但ACEs、健康相关生命质量(HRQOL)、慢性病数量之间的关系尚未得到充分探讨。

目的

探讨ACEs与HRQOL的关系,以及慢性病数量在ACEs与成年后HRQOL之间存在中介作用,为提高我国居民HRQOL提供理论依据。

方法

依托中国居民心理与行为调查研究(PBICR)开展研究,于2023年6—9月,采用随机数表法在四川省抽取符合研究要求的居民1 932名。采用欧洲五维五水平生命质量量表(EQ-5D-5L)、童年期不良经历问卷(ACE-Q)等开展调查,采用Process插件模型4进行简单中介模型检验。

结果

611名受试者(31.63%)患慢性病,555名(28.73%)受试者至少经历了1种ACEs,其中255名(13.20%)经历过≥3项ACEs。Spearman秩相关分析结果显示,ACEs-Q得分与健康效用值、EQ-VAS得分呈负相关(rs=-0.271、-0.127,P<0.01),与慢性病数量呈正相关(rs=0.223,P<0.01)。Bootstrap检验结果显示,慢性病数量在ACEs-Q得分与健康效用值间的中介效应为-0.049,占总效应的26.20%;在ACEs-Q得分与EQ-VAS得分间的中介效应为-0.023,占总效应的16.08%。

结论

慢性病数量在ACEs与成年后HRQOL间起部分中介作用,故应及时对ACEs暴露人群进行慢性病筛查和干预,这对促进健康老龄化至关重要。

关键词: 童年不良经历, 健康相关生命质量, 慢性病, 中介分析, 四川

CLC Number: