中国全科医学 ›› 2026, Vol. 29 ›› Issue (10): 1316-1323.DOI: 10.12114/j.issn.1007-9572.2024.0036

• 论著 • 上一篇    下一篇

血清ACE和sIL-2R与男女性Ⅱ期肺结节病患者肺功能指标相关性的差异研究

王殊琪1, 马俊2, 吴韵琳3, 陈凤芳4, 陈娴秋5, 杨文兰6, 李秋红5, 黄劲1,*(), 冯永红1,2,*()   

  1. 1.561113 贵州省贵阳市,贵州医科大学公共卫生与健康学院
    2.200433 上海市,同济大学附属上海市肺科医院 上海市结核病重点实验室
    3.315010 浙江省宁波市,宁波大学第一附属医院感染控制科
    4.561000 贵州省安顺市西秀区疾病预防控制中心
    5.200433 上海市,同济大学附属上海市肺科医院
    6.200433 上海市,同济大学附属上海市肺科医院肺功能科
  • 收稿日期:2025-03-15 修回日期:2025-09-05 出版日期:2026-04-05 发布日期:2026-03-25
  • 通讯作者: 黄劲, 冯永红

  • 作者贡献:

    冯永红、黄劲进行文章的构思与设计与可行性分析;王殊琪、吴韵琳进行临床数据的搜集和肺功能数据的判定;马俊、陈娴秋,杨文兰对影像学资料进行判读;王殊琪、吴韵琳、陈凤芳、陈娴秋、李秋红进行统计学处理,结果的分析与解释,撰写论文;冯永红进行论文的修订及文章的质量控制及审校,对文章整体负责,监督管理。

  • 基金资助:
    国家自然科学基金资助项目(81971558)

Differences in the Correlation of Serum ACE and sIL-2R with Pulmonary Function Parameters in Male and Female Patients with Newly Diagnosed Stage Ⅱ Sarcoidosis

WANG Shuqi1, MA Jun2, WU Yunling3, CHEN Fengfang4, CHEN Xianqiu5, YANG Wenlan6, LI Qiuhong5, HUANG Jin1,*(), FENG Yonghong1,2,*()   

  1. 1. School of Public Health and Wellness, Guizhou Medical University, Guiyang 561113, China
    2. Shanghai Key Laboratory of Tuberculosis, Shanghai Pulmonary Hospital, Tongji University, Shanghai 200433, China
    3. Hospital-Acquired Infection Control Department, the First Affiliated Hospital of Ningbo University, Ningbo 315010, China
    4. Disease Prevention and Control Center of Xixiu District, Anshun 561000, China
    5. Department of Respiratory Medicine, Shanghai Pulmonary Hospital, Tongji University, School of Medicine, Shanghai 200433, China
    6. Department of Pulmonary Function Test, Shanghai Pulmonary Hospital, Tongji University, Shanghai 200433, China
  • Received:2025-03-15 Revised:2025-09-05 Published:2026-04-05 Online:2026-03-25
  • Contact: HUANG Jin, FENG Yonghong

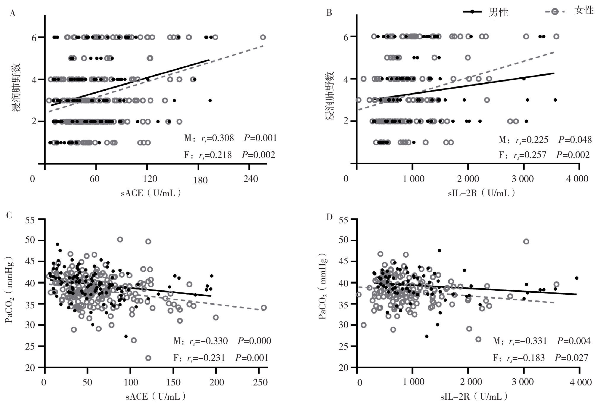
摘要: 背景 血清血管紧张素转换酶(sACE)和可溶性白细胞介素-2受体(sIL-2R)是结节病诊断和预后判断的重要生物标志物,但二者与结节病肺损伤和肺功能相关性有无性别差异尚不明确。 目的 探讨未经治疗的男女性Ⅱ期结节病患者sACE和sIL-2R水平与肺损伤范围、肺功能指标相关性的差异。 方法 回顾性分析2010—2022年于上海市肺科医院新诊断的119例男性和196例女性Ⅱ期结节病患者的临床资料。根据首次入院检测的sACE活性将患者分为3组。由专业医师评估浸润肺野数及肺门、纵隔淋巴结肿大的情况。分析sACE、sIL-2R水平与肺部浸润范围、肺功能检测(PFTs)和动脉血气指标之间的相关性,并对男性和女性患者结果进行比较。 结果 sACE活性增加与肺部浸润范围增加、淋巴结肿大、二氧化碳分压(PaCO2)下降相关。在sACE低于参考值的患者中,男性患者主动脉下淋巴结肿大的比例高于女性患者。相关性分析中,sACE活性和sIL-2R水平在男、女性中均与肺部浸润范围呈正相关(P<0.05)。但是,肺功能指标分析中,sACE活性主要与男性患者肺功能指标第1秒用力呼气量占预计值的百分比(FEV1%pred)、一氧化碳的弥散程度占预计值的百分比(DLCO%pred)、肺总量占预计值的百分比(TLC%pred)、30秒用力呼气量占预计值的百分比(FEV1×30%pred)、50%肺活量时的最大呼气流量占预计值的百分比(MEF50%pred)呈负相关,sIL-2R主要与女性患者最大呼气峰流速占预计值的百分比(PEF%pred)、MEF50% pred呈负相关(P<0.05)。 结论 未经治疗的男性和女性Ⅱ期结节病患者可能存在疾病进展的差异。男性患者的sACE和女性患者的sIL-2R是肺功能下降的性别特异性生物标志物。

关键词: 结节病, 血清血管紧张素转换酶, 可溶性白细胞介素-2受体, 肺门、纵隔淋巴结肿大, 肺功能检查, 性别差异

Abstract:

Background

Serum angiotensin-converting enzyme (sACE) and Soluble interleukin-2 receptor (sIL-2R) are important biomarkers for the diagnosis and prognosis of sarcoidosis, but whether there are gender differences in their correlation with lung lesions and lung function is unclear.

Objective

To investigate the differences in the correlation of sACE and sIL-2R levels with the extent of lung injury and lung function indices in untreated male and female patients with stageⅡ sarcoidosis.

Methods

119 male and 196 female patients with newly diagnosed stageⅡ sarcoidosis at Shanghai Pulmonary Hospital from 2010 to 2022 were included in this retrospective study. Patients were divided into three groups according to sACE activity at the first registration. The number of infiltration fields in the lung and the specific hilar and mediastinal lymphadenopathy were evaluated by specialists. The correlation between sACE and sIL-2R levels and the extent of lung infiltration, pulmonary function tests (PFTs) , and arterial blood gas indices were analyzed, and the results were compared between male and female patients.

Results

Increasing sACE activity was associated with increasing fields of lung lesions with more lymphadenopathy with declined partial pressure of carbon dioxide (PaCO2) . In cases with sACE lower than the normal range, male patients had a higher ratio of enlargement of lymph nodes at station 5 (Subaortic) , than female patients. While sACE and sIL-2R positively correlated with fields of lung lesions in both female and male patients. However, sACE was mostly associated with PFTs indices (FEV1%pred, DLCO%pred, TLC%pred, FEV1×30%pred, MEF50%pred) in males; while sIL-2R was negatively correlated with PFTs indices (PEF%pred and MEF50%pred) in females.

Conclusion

Differential disease progress may exist in male and female stage Ⅱ sarcoidosis patients without treatment. For males, sACE is a sex-specific biomarker for lung function decline; whereas for females it is sIL-2R.

Key words: Sarcoidosis, Serum angiotensin-converting enzyme, Soluble interleukin-2 receptor, Hilar and mediastinal lymphadenopathy, Pulmonary function tests, Sex disparity

中图分类号: